../../../icons/Logo.pngPraktische Elektronik


Wir betrachten den Transistor als Verstärker


list.png

Transistor als Verstärker


Transistor als Verstärker

Bisher haben wir z. B. im Praktikum Der Transistor Transistoren hauptsächlich als Schalter eingesetzt. Tatsächlich werden Transistoren und insbesondere MOSFETs heute fast ausschließlich als Schalter verwendet. Als Verstärker werden sie nur noch selten und dann meist als Leistungsverstärker eingesetzt.

Attention >

Verstärker

Ein Verstärker hat die Aufgabe,

  • eine Eingangsspannung oder einen Eingangsstrom am Ausgang verstärkt wiederzugeben,
  • und zwar so genau wie möglich, d. h. ohne Verzerrung.
  • Die Eingangsspannung soll um den Verstärkungsfaktor k verstärkt wiedergegeben werden:
  • Uaus = k * Uin
  • Dasselbe gilt für die Verstärkung des Stroms:
  • Iaus = k * Iin
  • Dies bedeutet gleichzeitig, dass das Signal am Eingang mit einer höheren Leistung am Ausgang zur Verfügung steht.
  • Allerdings ist der Verstärkungsfaktor nicht linear, sondern die Leistung wird um k², also k*k, verstärkt.
Attention >

Bipolare Transistoren

Im Folgenden betrachten wir zunächst bipolare Transistoren.

Auf MOSFETs gehen wir später ein.

Transistor als Stromverstärker

Wir haben Transistoren als Schalter verwendet.

Transistor1.png
Bild 1: Transistor als Schalter

Dabei haben wir ausgenutzt, dass man mit einem kleinen Basisstrom einen großen Kollektorstrom steuern kann.

Eine Faustregel besagt, dass der Basisstrom Ib den 10-fachen Kollektorstrom Ic steuern kann.

  • In Bild 1 würde ein Widerstand R1=10 kΩ ausreichen, um die LED mit dem Vorwiderstand R2=1 kΩ zu schalten.

Einfacher Versuch

Ersetzen wir den Widerstand durch größere:

10 kΩ LED leuchtet
100 kΩ LED leuchtet
1 MΩ LED leuchtet schwächer

Offensichtlich kann ein Transistor mit einem wesentlich geringeren Basisstrom angesteuert werden. Der Faktor 10 ist nur dann üblich, wenn ein Transistor als Schalter verwendet wird.

Messung der Stromverstärkung

Hier untersuchen wir, wie die Ströme im Transistor zusammenhängen. Bei einem Bipolartransistor ist der Kollektorstrom ein Vielfaches des Basisstroms. Dieser Faktor hFE wird als Stromverstärkung bezeichnet: Ic = hFE * Ib. Für die Stromverstärkung ist neben dem hFE noch das Formelzeichen B gebräuchlich.

Die Stromverstärkung ist ein typischer Parameter eines Transistortyps.

Transistoren sind erwartungsgemäß nicht perfekt. Die Stromverstärkung variiert mit dem Kollektorstrom. Auch innerhalb einer Charge eines Transistortyps gibt es erhebliche Schwankungen. Außerdem hängt die Stromverstärkung von der Temperatur des Transistors ab.

Stromverstaerkung.png
Bild 2: Messung der Stromverstärkung

Mit der Schaltung in Bild 2 kann die Stromverstärkung eines Transistors bei einem bestimmten Kollektorstrom ermittelt werden. Gemessen wird jedoch nicht die Stromverstärkung, sondern der Basisstrom bei einem bestimmten Kollektorstrom. Das Verhältnis von Kollektorstrom zu Basisstrom ist dann die Stromverstärkung. hFE = Ic / Ib.

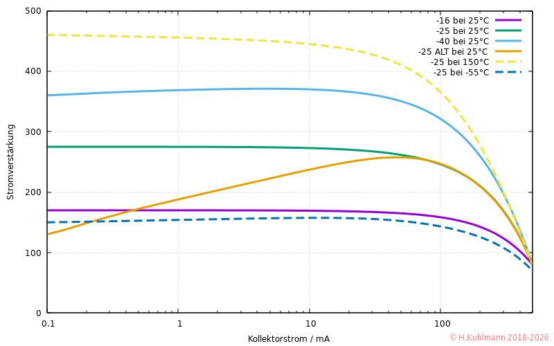
BC337-Stromverstaerkung.png
Bild 3: Typischer Verlauf der Stromverstärkung des BC337

Bild 3 zeigt, dass sich die Stromverstärkung eines BC337 mit dem Kollektorstrom Ic ändert. Dargestellt sind die typischen Kurven für drei Stromverstärkungsgruppen. Im Bereich bis Ic=30 mA ist die Stromverstärkung in einer Stromverstärkungsgruppe relativ konstant. Bei einem anderen Hersteller (orange) ist dies überhaupt nicht der Fall. Die Stromverstärkung ist temperaturabhängig (dünne gelbe und blaue Linien).

Mit anderen Worten: Wir müssen bei Transistoren mit stark schwankenden Stromverstärkungen rechnen. :-)

Hinzu kommt, dass die Stromverstärkung von Exemplar zu Exemplar, aber auch mit der Temperatur stark variiert.

Die BC337 werden in drei Stromverstärkungsgruppen geliefert:

Gruppe minimal typisch maximal
BC337-16 100 160 250
BC337-25 160 250 400
BC337-40 250 400 630

Tabelle 1: Stromverstärkung des BC337 bei Ic = 100 mA

Attention pin

Fazit

  • Auf die Daten von Transistoren können wir uns nicht sehr verlassen.
  • Aber es gibt Schaltungen, die Transistoren dennoch in den Griff bekommen.

Transistor als Gleichspannungsverstärker

Ein Transistor verstärkt Ströme. Der Kollektorstrom ist um den Stromverstärkungsfaktor größer als der Basisstrom.

Wir benötigen aber Spannungsverstärker.

Wir können Transistoren auch als Spannungsverstärker verwenden. Dazu müssen wir nur Ströme in Spannungen und Spannungen in Ströme umwandeln. Genau das machen Widerstände.

  • Wir schalten vor die Basis des Transistors einen Widerstand, an den wir eine Spannung legen und so einen Basisstrom erzeugen.
  • Den Kollektorstrom des Transistors wandeln wir über einen Widerstand in eine Spannung um.
  • Um den Emitterstrom in eine Spannung umzuwandeln, benötigen wir ebenfalls einen Widerstand.

Die folgende Schaltung fasst dies zusammen.

Emitter-Kollektor-Prinzipschaltung.png
Bild 4: NPN-Transistor als Verstärker

Der Emitterwiderstand R4 von 500 Ω in Bild 4 wird durch zwei parallel geschaltete Widerstände von 1 kΩ gebildet. Dadurch ist der Emitterwiderstand halb so groß wie der Kollektorwiderstand R3.

Durch das Poti kann ein Strom Ib in den Transistor fließen. Dieser Basisstrom bewirkt, dass im Kollektor ein höherer Strom Ic fließt. Der Kollektorstrom fließt auch durch den Emitter. Der Emitterstrom ist dann Ie=Ic+Ib. In den meisten Fällen ist der Kollektorstrom mehr als 100-mal größer als der Basisstrom. Der Einfachheit halber vernachlässigen wir den Basisstrom und setzen Ie ≈ Ic.

Wir messen

  • die Spannung Ub an der Basis, die auch die Eingangsspannung Ui ist,
  • die Spannung Ue am Emitter und
  • die Spannung Uc am Kollektor des Transistors.

Interessant ist auch

  • die Basis-Emitter-Spannung Ube,
  • die Kollektor-Emitter-Spannung Uce und
  • die Spannung U3 am Kollektorwiderstand R3.

Diese Spannungen lassen sich leicht berechnen:

Ube = Ub - Ue

Uce = Uc -Ue

U3 = Uv - Uc

Uv ist die Versorgungsspannung von 5 V.

Attention work

Messen

Es wird empfohlen, die vorgeschlagenen Messungen durchzuführen. Es ist jedoch mit Abweichungen zu rechnen, da Transistoren stark voneinander abweichen können.

Die grafische Darstellung der Messergebnisse ist im Rezept Kennlinien aufnehmen und darstellen beschrieben.

Mit dem Poti werden verschiedene Eingangsspannungen Ui eingestellt und Ue und Uc gemessen. Die eingestellten Eingangsspannungen Ui müssen keine bestimmten Werte haben. Sie sollten jedoch gleichmäßig über den Bereich verteilt sein.

Es zeigt sich, dass Eingangsspannungen Ui größer als 2,8 V nicht möglich sind.

Ui Ue Uc Ube=Ui-Ue Uce=Uc-Ue U3=Uv-Uc U3 / Ue
0.00 0.00 5.00 0.00 5.00 0.00
0.41 0.00 5.00 0.41 5.00 0.00
0.51 0.01 5.00 0.50 4.99 0.00
0.67 0.11 4.76 0.56 4.65 0.24 2.18
0.74 0.17 4.65 0.57 4.48 0.35 2.06
0.83 0.25 4.48 0.58 4.23 0.52 2.08
0.95 0.36 4.26 0.59 3.90 0.74 2.06
1.11 0.51 3.96 0.60 3.45 1.04 2.04
1.26 0.65 3.68 0.61 3.03 1.32 2.03
1.36 0.75 3.48 0.61 2.73 1.52 2.03
1.60 0.98 3.02 0.62 2.04 1.98 2.02
1.79 1.17 2.65 0.62 1.48 2.35 2.01
1.90 1.28 2.43 0.62 1.15 2.57 2.01
2.09 1.46 2.06 0.63 0.60 2.94 2.01
2.20 1.57 1.85 0.63 0.28 3.15 2.01
2.30 1.66 1.71 0.64 0.05 3.29 1.98
2.40 1.74 1.75 0.66 0.01 3.25 1.87
2.48 1.80 1.81 0.68 0.01 3.19 1.77

Tabelle 2: Messungen an der Transistorschaltung in Bild 4

Die Tabelle 2 zeigt die Ergebnisse der Messungen in den ersten drei Spalten. Die Basis-Emitter-Spannung Ube und die Spannung U3 am Widerstand R3 wurden berechnet.

Interessant ist das Verhältnis der Spannung an R3 zur Eingangsspannung Ue: U3 / Ue. Die Spannung U3 ist etwa doppelt so hoch wie die Eingangsspannung Ui.

Das Verhalten des Transistors lässt sich am besten beschreiben, wenn die Daten grafisch dargestellt werden.

NPN-Ui-Ue-Uc.png
Bild 5: Grafische Darstellung der Daten aus Tabelle 2

Unterhalb einer Eingangsspannung von 0,5 V passiert nichts, da am Transistor eine Basis-Emitter-Spannung Ube von etwa 0,6 V benötigt wird. Die Basis-Emitter-Spannung ist in Bild 5 blau dargestellt und beträgt bis zur Eingangsspannung Ui < 2,1 V zwischen 0,56 V und 0,63 V.

Die Emitterspannung Ue (violett) steigt über 0,6 V linear (als gerade Linie) an.

Die Kollektorspannung Uc (grün) fällt zwischen 0,6 V und 2,1 V linear ab. Entsprechend steigt die Spannung U3 (orange) am Widerstand R3 in diesem Bereich linear an.

Interessanterweise ist das Verhältnis U3/Ue der Spannungen am Widerstand R3 zur Emitterspannung Ue im Bereich von 0,6 V bis 2,1 V immer 2 (gelb). Die Spannung Ue am Emitter wird sozusagen verstärkt.

Der Spannungsknick oberhalb von Ui=2,2 V ist einfach zu erklären. Die Spannungen Ue und Uc am Emitter und am Kollektor des Transistors sind bis auf 0,1 V gleich, d. h. zwischen Emitter und Kollektor liegt keine Spannung mehr. Der Transistor arbeitet als Schalter.

Im Bereich zwischen der Eingangsspannung von 0,6 V und 2,1 V sind die Kurven von Ue, Uc und U3 linear. Dies ist der Bereich, der für einen Verstärker genutzt werden kann.

Das Verhältnis U3/Ue=2 zwischen den Spannungen am Widerstand R3 und der Emitterspannung zeigt, dass eine Verstärkung möglich ist. Ue ist jedoch nicht die Eingangsspannung Ui, die um den konstanten Betrag der Basis-Emitter-Spannung Ube=0,6 V höher ist.

Der Transistor als Verstärker

  • Der Transistor in Bild 4 arbeitet als einfacher Gleichspannungsverstärker.
  • Leider ist der Verstärker nicht perfekt.

Bei einem Verstärker interessieren die Ausgangsspannungen:

  • die Spannung am Emitter und
  • die Spannung am Kollektor.

Wie Bild 5 zeigt, haben diese Spannungen einen linearen Bereich.

  • Beim Emitter liegt der lineare Bereich zwischen 0,6 V und 2,5 V.
  • Beim Kollektor liegt der lineare Bereich zwischen 2 V und 5 V.
  • Diese linearen Bereiche können zur Verstärkung genutzt werden,
  • sie weisen jedoch Spannungsdifferenzen auf.

Die Spannungen an Emitter und Kollektor können nicht unmittelbar zur Verstärkung genutzt werden.

In folgenden Praktika werden wir untersuchen, wie diese Spannungsdifferenzen überwunden werden können: