LEDs - Leuchtdioden
Leuchtdioden (LEDs – Light Emitting Diodes) leuchten, wenn Strom durch sie fließt.
Die folgende Tabelle gilt für LEDs, wie sie üblicherweise angeboten werden.
| Farbe | Werkstoff | Uf | Imax | Umax | Tmax | RV5 | RV5 min |
| rot | GaAsP | 1,8 V | 20 mA | 5 V | 85 °C | 1 kΩ | 160 Ω |
| gelb | GaAsP | 1,9 V | 20 mA | 5 V | 85 °C | 1 kΩ | 150 Ω |
| grün | GaP | 2,0 V | 20 mA | 5 V | 85 °C | 1 kΩ | 150 Ω |
| blau | ZnSe, InGaN | 3,1 V | 20 mA | 5 V | 85 °C | 10 kΩ | 100 Ω |
| orange | GaAsP | 2,0 V | 20 mA | 5 V | 85 °C | 1 kΩ | 150 Ω |
| weiß | InGaN | 3,1 V | 20 mA | 5 V | 85 °C | 100 Ω | 100 Ω |
| Uf | Flussspannung bei If = 5 mA |
| Imax | maximal zulässiger Strom |
| Umax | maximal zulässige Sperrspannung |
| Tmax | maximal zulässige Umgebungstemperatur |
| RV5 | Standardvorwiderstand an 5 V |
| RV5 min | minimaler Vorwiderstand an 5 V |
| Diese Grenzwerte dürfen nicht überschritten werden. | Siehe: Betriebsdaten und Grenzdaten |
- LEDs sind Dioden, d. h. sie lassen nur in Durchlassrichtung Strom fließen.
- In Sperrrichtung fließt nur ein minimaler Strom.
- Die maximal angelegte Sperrspannung sollte 5 V nicht überschreiten,
- auch wenn es einzelne LEDs gibt, die höheren Sperrspannungen widerstehen.
- Nur 5 V werden garantiert.
Weiße LEDs sind blaue LEDs, die mit einem Leuchtstoff beschichtet sind. Für weiße LEDs gilt der Standardvorwiderstand von 100 Ω, wenn sie für Beleuchtungszwecke verwendet werden.
Die Flussspannungen gelten für einen Strom von 5 mA. Sie können von den angegebenen Werten abweichen:
- Bei kleinen Strömen kann sie um mehr als 0,4 V niedriger sein.
- Selbst LEDs gleichen Typs (Farbe, Hersteller usw.) können bis zu ±0,4 V voneinander abweichen.
- Fast alle LEDs im 3 mm- oder 5 mm-Gehäuse haben einen maximal zulässigen Strom von 20 mA.
- Es gibt Ausnahmen, z. B.:
| Typ | Bauform | Farbe | Farbtem- peratur |
Imax | Uf | bei If | Pmax | Tmax |
| LW L283 | 0603 SMD | weiß | 6200 K | 20 mA | 2,75 V - 3,15 V | 10 mA | 80 mW | 85 °C |
| S190 W-W6-1E | 1206 SMD | warmweiß | 3000 K | 25 mA | 2,8 V - 3,8 V | 20 mA | 95 mW | 85 °C |
| NSPW300DS | 3 mm | tageslichtweiß | 6500 K | 30 mA | 2,7 V - 3,5 V | 20 mA | 105 mW | 85 °C |
| OS6MFL5A31 A | 5 mm | weiß | 3400 K | 60 mA | 2,9 V - 3,6 V | 50 mA | 216 mW | 85 °C |
| NSDW510 GS- K1 | 5 mm | weiß | 5000 K | 80 mA | 2,9 V - 3,7 V | 50 mA | 296 mW | 85 °C |
| Uf | Flussspannung bei If |
| Imax | maximal zulässiger Strom |
| Pmax | maximal zulässige Leistung |
| Tmax | maximal zulässige Umgebungstemperatur |
Farbspektrum
Die Farbe einer LED wird oft durch ihre Wellenlänge angegeben.
Lichtfarben
Für weiße LEDs werden Lichtfarben angegeben.
- Die Bezeichnungen sind nicht eindeutig definiert.
- Die Farbtemperatur ist aussagekräftiger.
- LEDs mit einer niedrigen Farbtemperatur sind gelber.
- LEDs mit einer hohen Farbtemperatur sind bläulicher.
Die folgende Tabelle fasst die wichtigsten Begriffe zusammen:
| Lichtfarbe | Räume | Farbtemperatur |
| warmweiß | Wohnraum | 2700 K bis 3300 K |
| weiß | Arbeitsplatz | 3300 K bis 5300 K |
| kaltweiß | Arbeitsplatz | über 4000 K |
| tageslichtweiß | Werkstatt | über 5300 K |
| Tageslicht | 6000 K | |
| Glühbirne | 2700 K | |
| Halogen | 3000 K |
Für Einsteiger wird das Praktikum LED-Schaltungen empfohlen.
Symbol
Der Strom fließt nur in der gezeichneten Richtung von der Anode zur Kathode.
Kennlinien
Kennlinien werden im Praktikum Kennlinien beschrieben.
Die tatsächlichen Kennlinien hängen vom LED-Typ und vom Hersteller ab. Darüber hinaus gibt es Abweichungen zwischen verschiedenen LEDs desselben Typs. Schließlich sind die Kennlinien auch von der Temperatur der LEDs abhängig.
Farbige LEDs werden meist für Anzeigezwecke verwendet und mit Strömen unterhalb des maximal zulässigen betrieben. Abweichungen in den Kennlinien sind dann nicht problematisch. Bei weißen LEDs für Beleuchtungszwecke ist das anders. Sie werden meist knapp unterhalb des maximal zulässigen Stroms betrieben. Die Kennlinien von weißen LEDs sind unten beschrieben.
Gehäuse
| 1 | Kathode | der kurze Anschluss |
| 2 | Anode | der lange Anschluss |
LEDs im 5 mm-Gehäuse haben auch einen kürzeren Kathodenanschluss.
- Bei neuen LEDs ist der Draht für die Kathode kürzer als der Draht für die Anode.
- Wir sollten immer dafür sorgen, dass die Kathode kürzer ist.
| Kathode | an die Minusleitung anschließen |
| Anode | an die Plusleitung anschließen |
LEDs prüfen
Anode und Kathode
-
Am einfachsten geht das mit dem
Multifunktionstester.
- Oder mit einer Batterie von 3 V bis 5 V und einem 200 Ω-Widerstand.

Die LED zwischen Widerstand und Minus U- anschließen.
- Wenn die LED nicht leuchtet, sie andersherum anschließen.
- Leuchtet die LED, sind Anode und Kathode bestimmt.
- Der Anschluss der Kathode wird sofort gekürzt.
- Leuchtet die LED in keiner der beiden Richtungen, ist sie defekt.
- Wenn die LED leuchtet, kann ihre Flussspannung zwischen den Messbuchsen gemessen werden. Wenn die Versorgungsspannung 5 V beträgt, liegt der Strom zwischen 10 mA (weiß) und 17 mA (rot).
| Von links: | rote LED diffus |
| rote LED glasklar | |
| grüne LED diffus | |
| blaue LED diffus | |
| weiße LED | |
| Duo-LED | |
| gelbe LED 5 mm diffus | |
| Leistungs-LED-Modul weiß | |
| 3 weiße SMD-LEDs mittlerer Leistung | |
| SMD-LEDs grün |
Darstellung im Entwurf für das Board
Regeln
- Eine Leuchtdiode ist eine Diode. Sie lässt den Strom nur in Pfeilrichtung fließen.
- Die Anode muss an Plus liegen, damit die LED leuchtet.
- Der lange Draht ist die Anode und wird mit Plus verbunden.
- Für den Einsatz auf Steckboards werden die Anschlüsse zwar gekürzt, der Anschluss der Anode ist aber immer länger.
- Der lange Anschluss (Anode) einer LED gehört in den runden Lötpunkt eines KiCad-Layouts.
- Für allgemeine Anzeigezwecke wird eine LED mit einem Vorwiderstand von 1 kΩ (10 kΩ bei blauen LEDs) betrieben.
- Vorsicht bei Spannungen über 5 V, diese können die LEDs zerstören.
Vorwiderstände für LEDs
Vorwiderstände
LEDs dürfen nicht ohne Vorwiderstände oder spezielle Regler betrieben werden.
Die obige Tabelle gibt die minimalen Vorwiderstände an, um eine LED mit 5 V zu betreiben. In den meisten Fällen sind wesentlich höhere Widerstände ausreichend. Ein guter Wert ist 1 kΩ. Damit können wir eine LED auch mit 12 V betreiben.
Die Helligkeit einer LED ändert sich kaum, wenn man den Widerstand geringfügig ändert. Eine gute Faustregel besagt, dass wir eine Änderung der Helligkeit erst bemerken, wenn wir den Widerstand halbieren oder verdoppeln. Wem eine LED mit 1 kΩ nicht hell genug ist, der muss schon 470 Ω oder sogar 220 Ω nehmen.
Blaue LEDs sind wesentlich heller als rote. Für Anzeigen sollten wir daher bei blauen LEDs einen Vorwiderstand von 10 kΩ wählen.
LEDs für Beleuchtungszwecke sind etwas anderes. Sie müssen meist mit einer speziellen Elektronik betrieben werden. Eine weiße LED soll normalerweise beleuchten, also möglichst hell sein. Für weiße 3 mm-LEDs an 5 V ist daher ein Widerstand von 100 Ω eine gute Wahl.
Helligkeit von LEDs
Helligkeit
Die Helligkeit einer LED ändert sich deutlich, wenn
- der Strom verdoppelt oder halbiert bzw.
- der Vorwiderstand halbiert oder verdoppelt wird.
Mit der Helligkeit von LEDs ist das so eine Sache. Natürlich kann man sie messen und LEDs miteinander vergleichen.
Diese Messwerte sagen aber oft nicht viel darüber aus, wie wir Menschen die Helligkeit wahrnehmen. Wenn wir ganz genau hinsehen, können wir einen Unterschied von 10 % soeben wahrnehmen. Wenn wir keinen direkten Vergleich haben, nehmen wir einen Helligkeitsunterschied erst dann wahr, wenn die Helligkeit doppelt oder halb so groß ist.
Ein anderes Problem sind unterschiedliche Farben. Hier treffen zwei Phänomene aufeinander:
- Die Helligkeit einer LED desselben Typs schwankt zwischen -50 % und +100 %.
- Die Effizienz – also die gemessene Helligkeit – von LEDs hängt von der Farbe ab.
- Menschen empfinden verschiedene Farben – bei gleicher gemessener Helligkeit – als unterschiedlich hell.
-
Mit den vorhandenen Daten können wir die tollsten Berechnungen anstellen:
Ausprobieren geht besser und schneller.
Regeln für die Helligkeit
- Die Helligkeit von LEDs ist abhängig vom Typ (normal, low current, high efficiency) und der Farbe.
- LEDs eines Typs (Farbe, Hersteller usw.) können erheblich von den typischen Daten abweichen (-50 % bis +100 %).
- High Efficiency LEDs erscheinen etwas heller.
- Wenn mehrere LEDs gleichzeitig in einer Anzeige betrachtet werden,
- sollte der Strom durch alle LEDs gleich sein (auf 10 % genau) und
- kann es notwendig sein, LEDs aus der gleichen Produktionscharge zu verwenden.
- Wenn die LEDs heller erscheinen sollen, sollte der Strom durch die LEDs verdoppelt werden. Der Vorwiderstand ist zu halbieren.
- Sollen die LEDs dunkler erscheinen, muss der Strom durch die LEDs halbiert werden. Der Vorwiderstand ist zu verdoppeln.
- Wenn LEDs mit verschiedenen Farben für Anzeigezwecke verwendet werden, sollten die Vorwiderstände am besten durch Versuche ermittelt werden.
- Rote, grüne und gelbe LEDs sollten (bei 5 V) an einem Vorwiderstand von 1 kΩ betrieben werden, blaue an einem von 10 kΩ.
- Weiße LEDs für Beleuchtungszwecke werden in der Regel mit einem hohen Strom betrieben, um eine hohe Helligkeit zu erreichen.
- Der Strom darf den maximal zulässigen Dauerstrom nicht überschreiten.
- Bei schwankenden Spannungsquellen ist es einfacher, eine Konstantstromquelle für LEDs zu verwenden.
LEDs als Referenzspannung
LEDs haben eine Flussspannung, die höher ist als die von Siliziumdioden. Man kann sie als einfache Spannungsreferenz einsetzen.
Die folgende Tabelle fasst die wichtigsten Daten zusammen. Zum Vergleich sind die Daten einer 3,3 V-Z-Diode aufgenommen.
| Dioden-Typ | Material | Uf (V) | Δ Uf (V) | Δ Uf / Uf | rd bei 5 mA | TC (mV/K) | Temperaturstabilität |
| Infrarot | GaAs | 1.7 | 0.2 | 0.12 | 3 bis 5 Ω | −2,0 bis −2,5 | Sehr empfindlich |
| Rot | GaAsP/GaP | 1.8 | 0.15 | 0.08 | 8 bis 12 Ω | −1,5 bis −2,0 | Empfindlich |
| Gelb | AlGaInP | 1.9 | 0.15 | 0.08 | 30 bis 45 Ω | −1,5 bis −2,0 | Empfindlich |
| Grün | GaP | 2.00 | 0.2 | 0.10 | 45 bis 65 Ω | −1,2 bis −1,6 | Mittel |
| Blau | InGaN | 2.90 | 0.5 | 0.17 | 120 bis 180 Ω | −1,0 bis −1,2 | Am stabilsten |
| BZX79-C3V3 | Z-Diode | 3.45 | 0.35 | 0.10 | 40 bis 80 Ω | -1,5 bis -2,0 | Empfindlich |
| Uf | Flussspannung bei 20 mA |
| Δ Uf | Änderung der Flussspannung zwischen 1 mA und 20 mA |
| Δ Uf / Uf | Relative Änderung der Flussspannung |
| rd | Differentieller Widerstand bei 5 mA |
| TC | Temperaturkoeffizient |
Weiße LEDs
Eine weiße LED soll normalerweise beleuchten, also möglichst hell sein. Sie werden in der Regel mit relativ hohen Strömen betrieben, z. B. eine 20 mA-LED mit 20 mA.
- Oft ist eine spezielle Elektronik zum Betrieb erforderlich.
- Für weiße 3 mm-LEDs an 5 V ist daher ein Widerstand von 100 Ω eine gute Wahl.
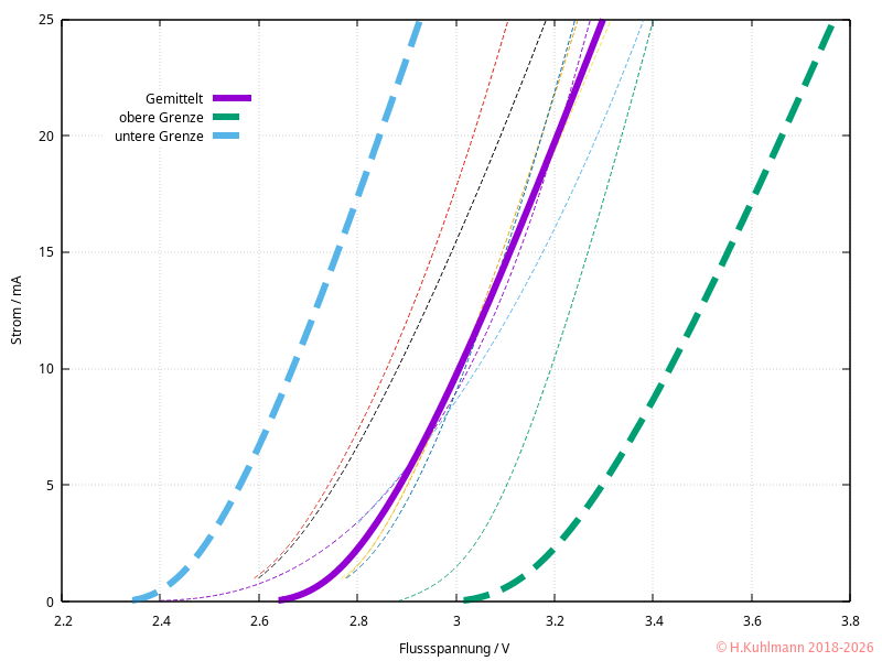
Wenn weiße LEDs in der Nähe ihrer Grenzdaten, meist des maximalen Stroms, betrieben werden, sind die Kennlinien der LEDs wichtig. Die Hersteller geben in der Regel eine minimale und maximale Flussspannung bei einem Strom an. In den Datenblättern sind, wenn überhaupt, nur typische Kennlinien enthalten.
Die obigen Kennlinien stellen den Diodenstrom bei verschiedenen Flussspannungen weißer LEDs dar. Die fette violette Kennlinie wurde aus einer Reihe von Kennlinien weißer Dioden verschiedener Hersteller und LED-Typen für 20 mA gemittelt. Einige der ursprünglichen Kennlinien sind dünn dargestellt.
Die blaue Kennlinie zeigt den Verlauf des Diodenstroms für LEDs mit niedrigen Flussspannungen. Die grüne Kennlinie zeigt den entsprechenden Verlauf für LEDs mit hohen Flussspannungen. Diese beiden Verläufe ergeben sich aus den von den Herstellern angegebenen Toleranzbereichen bei 20 mA.
- Die Kennlinien in Bild 7 zeigen, dass die Daten von LEDs sehr weit schwanken können.
- Sowohl die gestrichelte blaue Kennlinie als auch die gestrichelte grüne Kennlinie können bei weißen LEDs vorkommen. Sie beschreiben den Bereich, in dem die meisten Kennlinien liegen. Die violette Kennlinie beschreibt das Mittel aller Kennlinien.
- Die meisten LEDs haben eine Kennlinie, die nahe der violetten liegt. Nur wenige, unter 2,5 % liegen nahe der blauen oder grünen.
Die Kennlinien in Bild 7 zeigen oberhalb von 5 mA einen ziemlich geraden (linearen) Verlauf. Sie haben einen relativ hohen differenziellen Widerstand.
- Der differenzielle Widerstand einer typischen LED liegt zwischen 5 mA und 20 mA bei 12 Ω.
- Bei einer LED mit minimaler Flussspannung beträgt er 8 Ω.
- Bei einer LED mit maximaler Flussspannung liegt er bei etwa 30 Ω.
Flussspannung weißer LEDs
Die typische Flussspannung einer LED beträgt bei 20 mA 3,2 V.
Die Flussspannung von LEDs kann jedoch erheblich schwanken:
Bei 20 mA liegt sie
- je nach Hersteller zwischen 2,8 V und 4,0 V,
- im Mittel zwischen 2,8 V und 3,6 V.
Im Mittel wird die untere oder obere Grenze von einer von 100 weißen LEDs unterschritten oder überschritten.
Aufgrund der großen Bereiche der Flussspannung werden diese oft in Klassen eingeteilt, z. B. für weiße SMD-LEDs bei 10 mA:
| minimale Flussspannung | maximale Flussspannung |
| 2,75 V | 2,90 V |
| 2,90 V | 3,05 V |
| 3,05 V | 3,20 V |
| 3,20 V | 3,35 V |
| 3,35 V | 3,50 V |
Für jede Klasse beträgt
- die Toleranz der Flussspannung also ±0,05 V und
- die Toleranz der Lichtstärke ±11 %.
Die Flussspannung einer LED hängt von der Temperatur ab.
- Die Flussspannung fällt mit steigender Temperatur.
- Sie fällt etwa um 2 mV pro °C ab.
Duo-LEDs
Für viele Schaltungen werden zwei verschiedenfarbige LEDs benötigt. Diese sind auch in einem gemeinsamen Gehäuse erhältlich:
- mit zwei Anschlüssen
- antiparallel
- mit drei Anschlüssen
- mit gemeinsamer Kathode
- mit gemeinsamer Anode
- mit vier Anschlüssen
Die Anschlussbelegung ist nicht einheitlich. Am besten nachmessen.
Leistungs-LEDs
Leistungs-LEDs müssen mit einem Kühlkörper und einem speziellen Treiber betrieben werden.
Sie sind unter Leistungs-LED beschrieben.