../../../icons/Logo.pngPraktische Elektronik


Wir gehen pragmatisch an die Verwendung von Kennlinien heran.


list.png

Kennlinien

Spezielle Widerstände


Kennlinien

Attention pin

Ein Praktiker muss mit den Kennlinien von Bauelementen umgehen können.

Für dieses Praktikum ist es hilfreich, Dioden zu kennen, wie sie in Dioden vorgestellt werden.

Kennlinien sind die grafische Darstellung einer Eigenschaft eines Bauelements. Manchmal werden sie auch als Kurve bezeichnet.

Kennlinie einer Diode

Wir wissen, dass Dioden eine Flussspannung haben. Für eine 1N4001 haben wir z. B. eine Flussspannung von 1 V angenommen.

Wenn wir jedoch genauer messen, stellen wir fest, dass dieser Wert oft nicht stimmt. Insbesondere hängt die Flussspannung vom Strom durch die Diode ab.

1N4001.png
Bild 1: Kennlinie der Diode 1N4001

Die Kennlinie in Bild 1 zeigt, bei welcher Flussspannung welcher Strom fließt. Oder wie hoch die Flussspannung bei welchem Strom ist.

Auf der waagerechten Achse ist die Flussspannung eingetragen. Auf der vertikalen Achse der Strom.

Zur Auswertung der Kennlinie genügt es, zwei Linien einzutragen:

1N4001-Linien.png
Bild 2: Auswertung der Kennlinie der Diode 1N4001

Meist wollen wir wissen, wie hoch die Flussspannung der 1N4001 bei einem bestimmten Strom, z. B. 2,5 A, ist. Wie in Bild 2 tragen wir bei 2,5 A eine waagerechte Linie ein. Dort, wo diese die Kennlinie kreuzt, ziehen wir eine vertikale Linie nach unten. Dort können wir ablesen, wie hoch die Flussspannung ist: 1,0 V.

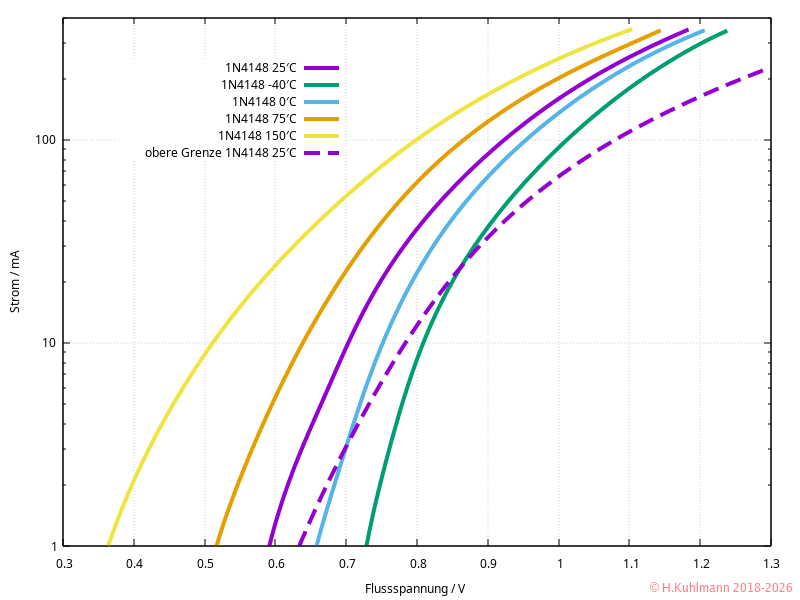
Komplexe Kennlinien

1N4148.png
Bild 3: Kennlinien der Diode 1N4148

Bild 3 zeigt drei Kennlinien der Diode 1N4148. Die Hilfslinien erleichtern uns, die Flussspannung für einen bestimmten Strom abzulesen.

Die magentafarbene Kennlinie ist die typische Kennlinie einer 1N4148 bei 25 °C. Aufgrund von Exemplarstreuungen kann diese Kennlinie aber auch der gestrichelten entsprechen. Es sind weitere Kennlinien dargestellt, wenn die Temperatur der 1N4148 -40 °C, 0 °C, 75 °C und 150 °C beträgt.

Wir lesen ab:

  • Bei 200 mA beträgt die Flussspannung normalerweise 1,05 V (magenta).
  • Es kann aber auch vorkommen, dass sie bei 200 mA 1,27 V beträgt (gestrichelt).
  • Wenn die 1N4148 150 °C heiß ist, beträgt die Flussspannung 0,95 V (gelb).

Die wichtigste Aussage ist, dass die Flussspannung einer 1N4148 nur sehr ungenau angegeben werden kann.

Aus diesem Grund nehmen wir für die Flussspannung einer 1N4148 einfach 1 V an.

Die Darstellung in Bild 3 erlaubt es nicht, die Flussspannung für kleine Ströme um 1 mA zu bestimmen. Wir können nur grob abschätzen, dass sie etwa 0,6 V beträgt.

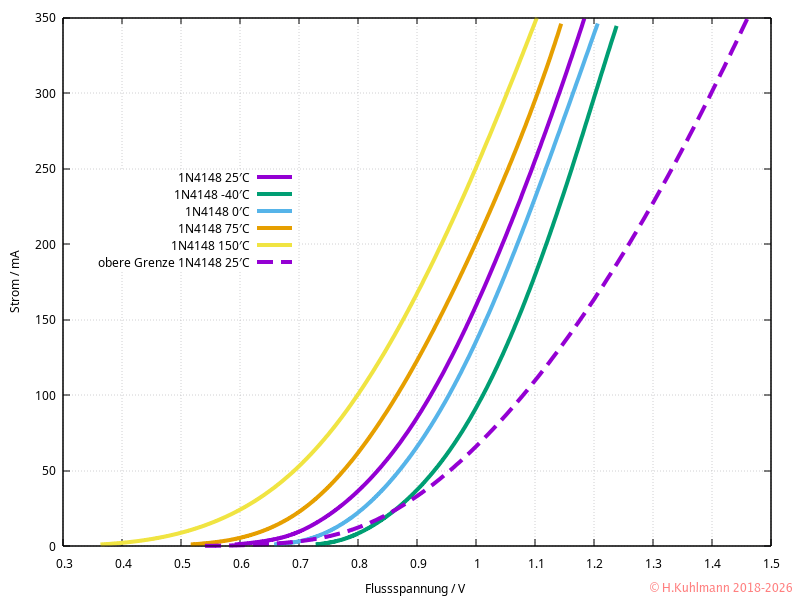
1N4148-log.png
Bild 4: Kennlinie einer 1N4148 mit weitem Strombereich

In Bild 4 ist der Strom nicht gleichmäßig (linear), sondern gespreizt (logarithmisch) dargestellt. Damit können wir auch die Flussspannung bei 1 mA ablesen, nämlich 0,6 V. Bei 200 mA können wir der Kennlinie entnehmen, dass eine Flussspannung von 1,05 V abfällt.

Kennlinien von LEDs

Häufig werden auch die Kennlinien verschiedener Bauelemente gemeinsam dargestellt.

LED-Kennlinie.png
Bild 5: Kennlinien von LEDs verschiedener Farben

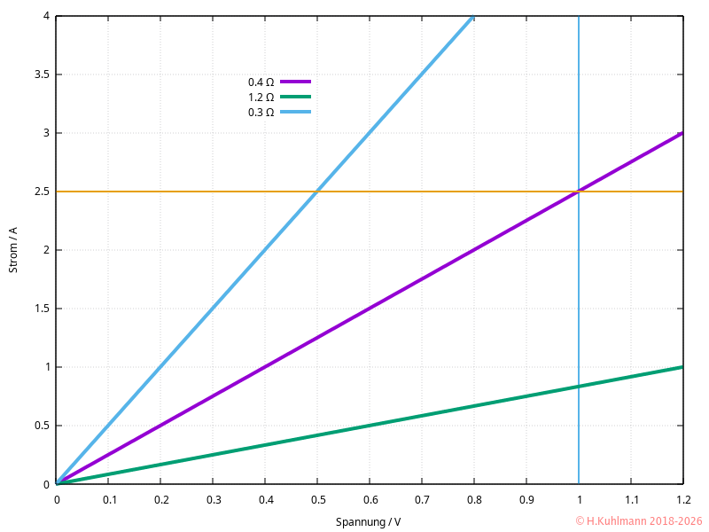
Kennlinie von Widerständen

Betrachten wir die Kennlinien von Widerständen:

Widerstands-Kennlinie.png
Bild 6: Kennlinien von Widerständen

Widerstandskennlinien sind langweilig. Es sind Geraden, die beim Strom 0 immer die Spannung 0 haben.

Bild 6 zeigt die Kennlinien von drei Widerständen. Die rote Kennlinie gehört zu einem Widerstand, der kleiner ist als der blaue oder grüne.

  • Die Kennlinie eines kleinen Widerstands verläuft steil und
  • die eines großen Widerstands flach.
Attention work

Kennlinie eines Widerstands zeichnen

  1. Wir legen die Spannung und den Strom fest, die uns interessieren.

Meist haben wir eine maximale Spannung Umax und einen Widerstand R. Dann ist der maximale Strom Imax = Umax / R.

  1. Wir berechnen den Strom I durch den Widerstand R bei einer Spannung U mit I = U / R
  1. Wir tragen einen Punkt an der Stelle U und I ein (bzw. Umax und Imax).
  1. Wir ziehen eine Gerade von diesem Punkt durch den Nullpunkt (0 V und 0 A).
Widerstands-Kennlinie-rotiert.png
Bild 7: Kennlinien von Widerständen mit vertauschten Achsen

Bild 7 zeigt die Kennlinien der gleichen Widerstände. Die horizontale und vertikale Achse wurden allerdings vertauscht.

Bei Widerstandskennlinien mit vertauschten Achsen

  • verläuft die Kennlinie eines kleinen Widerstands flach und
  • die eines großen steil.

Kennlinien mit negativen Werten

Widerstands-Kennlinie-negativ.png
Bild 8: Kennlinie eines Widerstands mit negativen Werten

Negative Spannungen an Widerständen treten auf, wenn die Polarität der Spannung am Widerstand vertauscht wird, also wenn die Anschlüsse des Widerstands vertauscht werden.

Wie wir wissen, hat dies keine besonderen Auswirkungen auf den Widerstand. Die Spannung liegt in entgegengesetzter Richtung an und der Strom fließt in die andere Richtung. Also negativ. Genau das zeigt die Kennlinie in Bild 8.

Die negative Spannung liegt links,
Der negative Strom unten.

Ein Widerstand wird immer noch durch eine Gerade beschrieben.

Bei negativer Spannung fließt ein negativer Strom:
Die Kurve verläuft links unten.

Kennlinie einer Diode mit negativen Werten

1N4001-negativ.png
Bild 9: Kennlinie einer Diode mit negativen Werten

Eine Diode sperrt beim Vertauschen der Polarität. Bei negativer Spannung fließt kein Strom. Das zeigt Bild 9.

Regeln

Eine Kennlinie stellt eine Eigenschaft eines Bauelements grafisch dar.

Eine Kennlinie wird in einem Feld mit

  • einem Wert auf einer waagerechten Achse und
  • einem anderen auf der vertikalen Achse dargestellt.
  • Die Werte der Achsen werden auf den Achsen aufgetragen.
  • Die Kennlinie ist die Kurve im Feld.
  • Es können auch mehrere Kennlinien in einem Bild dargestellt werden.
  • Bild 1, Bild 3 und Bild 5

Es gibt Kennlinien mit negativen Bereichen.

  • Der negative Bereich der waagerechten Achse liegt links,
  • der negative Bereich der vertikalen Achse unten.
  • Bild 8 und Bild 9

Kennlinien werden von den Herstellern der Bauelemente in verschiedenen Darstellungen bereitgestellt.

  • Die waagerechte und die vertikale Achse können vertauscht sein.
  • Die Achsen können lineare oder logarithmische Skalen haben.
  • Auch negative Bereiche können dargestellt werden.

Kennlinien können verwendet werden, um das Verhalten einer Schaltung zu bestimmen. Wir werden uns damit im Praktikum Arbeiten mit Kennlinien beschäftigen.

Das Rezept Kennlinien aufnehmen und darstellen beschreibt, wie Kennlinien aufgenommen werden.