../icons/Logo.pngPraktische Elektronik


Widerstände sind die einfachsten und wichtigsten elektronischen Bauelemente.


list.png

Widerstände

Unter einem Widerstand versteht man im Allgemeinen einen ohmschen Widerstand. Ohmsche Widerstände werden verwendet, um einen bestimmten Strom einzustellen.

Attention >

Besonders interessant sind NTC-Widerstände und PTC-Widerstände.

Symbol

Widerstand_Symbol.png
Bild 1: Symbol eines Widerstands

Daten typischer ohmscher Widerstände:

Bauform Maße Pmax
 Kohle
Pmax
 Metall
Umax Rth
 Kohle
Rth
 Metall
Toleranz Werte
0204 3,6 mm x
 1,6 mm ⌀
0,25 W 200 V 340 K/W 1 %, 5 % 0,22 Ω - 10 MΩ
0207 6,6 mm x
 2,5 mm ⌀
0,25 W 0,6 W 200 V 340 K/W 140 K/W 5 %, 1 %, 0,1 % 0,1 Ω - 22 MΩ
0414 11,9 mm x
 4,5 mm ⌀
0,6 W 1 W 200 V 140 K/W 85 K/W 5 %, 1 % 0,1 Ω - 22 MΩ
0617 17,0 mm x
 6,0 mm ⌀
0,7 W 2,0 W 500 V 120 K/W 45 K/W 5 % 1 Ω - 10 MΩ
0603 SMD 1,60 x 0,80 x
 0,45 mm³
0,1 W 50 V 850 K/W 5 %, 1 %, 0,1 % 0 Ω, 0,01 Ω - 10 MΩ
0402 SMD 1,00 x 0,50 x
 0,35 mm³
0,063 W 50 V 1350 K/W 5 %, 1 %, 0,1 % 0 Ω, 1 Ω - 10 MΩ
Metall Metallschichtwiderstand
Kohle Kohleschichtwiderstand
Pmax maximal zulässige Leistung
Umax maximal zulässige Betriebsspannung
Rth typischer Wärmewiderstand
Toleranz typische Toleranzen
Werte typische Werte
SMD SMD-Gehäuse
Diese Grenzwerte dürfen nicht überschritten werden. Siehe: Betriebsdaten und Grenzdaten

Die maximal zulässige Betriebstemperatur beträgt 155 °C.

Oberhalb von 70 °C verringert sich die maximale Leistung.

  • Werden Widerstände mit ihrer maximal zulässigen Leistung betrieben, können sie sehr heiß werden, bis zu 155 °C.
  • Es gibt weitere Bauformen von Widerständen, z. B. für höhere Leistungen.

Wirkung

Widerstand_Spannung.png
Bild 2: Spannung und Strom an einem Widerstand

Der Strom I durch einen Widerstand R hängt von der Spannung U am Widerstand ab (siehe auch Widerstand, Strom und Spannung (Ohm)):

   I = U / R
   U = I * R
   R = U / I

Die Leistung P am Widerstand ist:

   P = U * I
   P = U * U / R
   P = I * I * R

Widerstände mit dieser (einfachen) Eigenschaft werden ohmsche Widerstände genannt.

Kennlinie

Widerstands-Kennlinie-negativ.png
Bild 3: Kennlinie eines Widerstands

Die Kennlinie eines Widerstands ist eine Gerade.

Attention work Mit dem Tool Ohm
kann der Zusammenhang zwischen Strom, Spannung, Widerstand und Leistung berechnet werden. Es beherrscht auch die E-Reihen der verfügbaren Werte.

Gehäuse

Widerstand_Bauformen.png
Bild 4: Verschiedene Widerstände und Bauformen

Links sind einige Widerstände der Bauform 207 zu sehen. Der 4,7 Ω Widerstand hat die Bauform 0414.

Es gibt:

  • Widerstandsnetzwerke, z. B. mit 8 x 100 Ω,
  • SMD-Widerstände,
  • Leistungswiderstände.

Thermische Eigenschaften

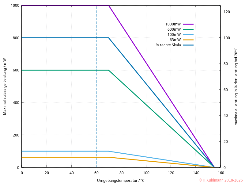
Attention pin

60 °C

Eine maximale Umgebungstemperatur von 60 °C ist für die meisten unserer Anwendungen eine gute Wahl.

Widerstand-Pmax.png
Bild 5: Maximale zulässige Verlustleistung von Widerständen bei Umgebungstemperatur

Die %-Kurve ist hilfreich, wenn die maximal zulässige Verlustleistung von Widerständen mit anderer Leistung bestimmt werden soll. Die %-Skala ist rechts angegeben.

Bei normalem Einbau und normalen Temperaturen (bis 60 °C) können Widerstände bis 3 W mit der angegebenen Leistung betrieben werden.

  • Die oben angegebenen Werte treffen auf die üblicherweise angebotenen Widerstände zu.
  • Die maximal zulässigen Werte eines bestimmten Widerstands sollten dem Datenblatt des Herstellers entnommen werden.
  • Dies gilt insbesondere für Widerstände mit höherer Leistung.

Widerstandswerte

Widerstände werden in Ohm Ω gemessen.
1000 Ω sind ein Kiloohm (1 kΩ),
eine Million Ohm (1000000 Ω) (1000 kΩ) sind ein Megaohm (1 MΩ).

Im Handel sind nicht alle Widerstandswerte erhältlich.

Die lieferbaren Werte werden in sogenannte E-Reihen eingeteilt.

E24 E12 E6
1.0 1.0 1.0
1.1
1.2 1.2
1.3
1.5 1.5 1.5
1.6
1.8 1.8
2.0
2.2 2.2 2.2
2.4
2.7 2.7
3.0
3.3 3.3 3.3
3.6
3.9 3.9
4.3
4.7 4.7 4.7
5.1
5.6 5.6
6.2
6.8 6.8 6.8
7.5
8.2 8.2
9.1

Die E24-Reihe umfasst 24 Werte.

Daneben gibt es noch die E48-Reihe und die E96-Reihe.

Meist wird die E24-Reihe für Kohleschichtwiderstände mit 5 % Toleranz und
die E96-Reihe für Metallschichtwiderstände mit 1 % Toleranz verwendet.

  • Die verfügbaren Werte sind Werte W aus obiger Tabelle und
    :
  • W * 10,
  • W * 100,
  • W* 1k,
  • W * 10k,
  • W * 100k,
  • W * 1M,
  • W * 10M.
  • k = Kilo,
  • M = Mega.

Das Tool E-Reihen kann Werte aus einer E-Reihe auswählen.

Kennzeichnung von Widerständen

Bedrahtete Widerstände werden mit einem Farbcode gekennzeichnet. SMD-Widerstände werden entweder gar nicht oder mit einer 3- oder 4-stelligen Ziffernfolge gekennzeichnet. Die Farbringe auf bedrahteten Widerständen codieren Ziffern.

Das Prinzip ist bei beiden gleich: Die ersten Ziffern geben eine Zahl an, die letzten, wie viele Nullen anzuhängen sind.

Beispiel:

473 entspricht 47000 = 47 kΩ (die Farben sind gelb - violett - orange).

Der Farbcode von Widerständen kann leicht berechnet werden.

Regeln

  • Widerstände werden durch einen Farbcode gekennzeichnet.
  • Die Standardausführung von Widerständen kann mit maximal 0,25 W (Kohle) oder 0,6 W (Metall) belastet werden.
  • Die Leistung am Widerstand (P = U * I ) darf nicht größer sein als die maximale Leistung der Bauform des Widerstands.
  • Bei 5 V können Widerstände ab 100 Ω mit 0,25 W und 47 Ω mit 0,6 W verwendet werden.

Beispiel

Widerstand_Spannungsteiler.png
Bild 6: Spannungsteiler mit zwei Widerständen

Mit zwei Widerständen lässt sich eine Spannung teilen:

U2   = U1 * ( R2 / R1 )
U2   = Uges * ( R2 / ( R1 + R2 ) )
Uges = U1 + U2
Attention work

Das Tool Spannungsteiler berechnet die Widerstände eines Spannungsteilers und kann Werte aus E-Reihen auswählen.

Bauformen

Die wichtigsten Bauformen von Widerständen sind:

  • Drahtwiderstände

Ein Widerstandsdraht ist auf einen meist keramischen Widerstandskörper gewickelt.

  • Die Oberfläche ist meist aus Keramik. Der Wert ist aufgedruckt.
  • Sie werden für hohe Leistungen eingesetzt.
  • Die Genauigkeit gibt es ab 0,1 %, meist 10 %.
  • Die beiden Widerstände rechts im Bild 4 sind Drahtwiderstände.
  • Der MPCT70 daneben ist ein niederohmiger Widerstand aus einem Metallband.
  • Kohleschichtwiderstände

Ein Kohleschichtwiderstand besteht aus einer aufgedampften Kohleschicht auf einem keramischen Widerstandskörper. Der Widerstandswert wird über eingefräste Rillen justiert.

  • Die Oberfläche ist lackiert und meist mit Farbringen versehen.
  • Kohleschichtwiderstände sind sehr preiswert.
  • Sie sind für kleine Leistungen geeignet.
  • Die Genauigkeit beträgt in der Regel 5 % bis 10 %.
  • In Bild 4 sind es die gelben Widerstände links.
  • Metallschichtwiderstände

Ein Metallschichtwiderstand besteht aus einer aufgedampften Metallschicht auf einem keramischen Widerstandskörper. Der Widerstandswert wird über eingefräste Rillen justiert.

  • Die Oberfläche ist lackiert und meist mit Farbringen versehen.
  • Metallschichtwiderstände sind preiswert.
  • Sie sind für kleine Leistungen geeignet.
  • Es gibt sie mit einer Genauigkeit ab 0,1 %, meist mit 1 %.
  • In Bild 4 sind es die blauen Widerstände.

Gehäuse von Widerständen

Attention >

THT und SMD

Montage von Bauelementen auf Leiterplatten

THT (Through Hole Technology) Durchsteckmontage

  • Die Anschlüsse von THT-Bauelementen werden durch Löcher in der Platine gesteckt und von unten verlötet.
  • THT-Bauelemente werden auf der Oberseite der Platine montiert.
  • Bedrahtete Bauelemente wie Widerstände und Kondensatoren werden in THT montiert. Dazu müssen die Anschlussdrähte entsprechend gebogen werden.

SMD (Surface Mounted Device) Oberflächenmontage

  • SMD-Bauelemente benötigen keine Bohrungen, sondern werden direkt auf Kupferpads gelötet.
  • SMD-Bauelemente können auf beiden Seiten einer Platine montiert werden.

Bedrahtete Gehäuse

Die folgenden Werte sind Richtwerte. Die tatsächlichen Werte können davon abweichen.

Gehäuse Maße l x ∅ max. Leistung / W max. Leistung
Kohleschicht Metallschicht
0204 3,6 x 1,9 mm 0,1 W 0,4 W
0207 6,6 x 2,5 mm 0,25 W 0,6 W
0309 9,0 x 3,2 mm 0,4 W
0411 9,9 x 3,6 mm 0,5 W
0414 11,9 x 4,5 mm 0,6 W 1,0 W
0516 15,5 x 5,0 mm
0614 14,3 x 5,7 mm
0617 17,0 x 6,0 mm 0,7 W 2,0 W
0918 18,0 x 9,0 mm

Auswahl von THT-Gehäusen für Widerstände

THT-Widerstand-Top-3D_s.png
3-D-Darstellung einer Leiterplatte mit THT-Widerständen und einem SMD-Widerstand

Die bedrahteten Widerstände können liegend oder stehend eingesetzt werden.

Die Leiterbahnen verlaufen auf der Unterseite, mit Ausnahme des SMD-Widerstands, bei dem eine Leiterbahn auf der Oberseite verläuft.

SMD-Gehäuse

Widerstände werden auch in SMD-Gehäusen angeboten.

Gehäuse Maße l x b x h max. Leistung
0402 1,00 x 0,50 x 0,35 mm 0,063 W
0603 1,60 x 0,80 x 0,45 mm 0,1 W
0805 2,00 x 1,25 x 0,55 mm 0,125 W
1206 3,10 x 1,55 x 0,55 mm 0,25 W
2010 5,08 x 2,54 x 0,55 mm 0,75 W
2512 6,35 x 3,20 x 0,55 mm 1 W

Auswahl von SMD-Gehäusen für Widerstände

SMD-Widerstand-Top-3D.png
3-D-Darstellung einer Leiterplatte mit SMD-Widerständen

Die Widerstände wurden so angeordnet, dass sie in das 2,54 mm-Raster einer Lochrasterplatine passen. Die Leiterbahnen verlaufen auf der Oberseite.

Leistungswiderstände

Widerstände für hohe Leistungen werden

  • in Keramikgehäusen für THT-Montage,
  • in TO-220-Gehäusen
  • und in speziellen Metallgehäusen für die Montage auf Kühlkörpern

angeboten.

LeistungsWiderstaende.png
Beispiele für Leistungswiderstände