../icons/Logo.pngPraktische Elektronik


Selbstrückstellende Sicherungen können Schaltungen effizient schützen


list.png

Selbstrückstellende Sicherungen

Selbstrückstellende Sicherungen werden auch als PTC-Sicherungen, Multifuse oder Polyfuse bezeichnet.

Typen

Typ Ih Ia R23 ta It Umax Imax Uk Geh.
MF-R005 50 mA 100 mA 10 Ω 5s 500 mA 60 V 40 A 60 V ⌀8 mm
RXEF005 50 mA 100 mA 10 Ω 5s 250 mA 60 V 40 A 60 V ⌀8 mm
MF-R010 100 mA 200 mA 4 Ω 4s 500 mA 60 V 40 A 60 V ⌀7,5 mm
RXEF010 100 mA 200 mA 4 Ω 4s 500 mA 60 V 40 A 60 V ⌀7,5 mm
PFRA.025 250 mA 500 mA 2 Ω 2,5s 1,25 A 60 V 40 A 60 V ⌀7,5 mm
RXEF025 250 mA 500 mA 2 Ω 2,5s 1,24 A 72 V 40 A 72 V ⌀7,5 mm
PFRA.110 1,1 A 2,2 A 0,2 Ω 6,6s 5,5 A 30 V 40 A 8 V ⌀8,9 mm
PFRA.250 2,5 A 5 A 0,05 Ω 10s 12,5 A 30 V 40 A 0,65 V ⌀12 mm
LF 30R250U 2,5 A 5 A 0,02 Ω 10s 12,5 A 30 V 40 A 0,25 V ◻11,4 mm
B59606A0110A062 90 mA 180 mA 27 Ω 1s 350 mA 30 V 0,5 A 13 V SMD 1210
B59607A0120A062 70 mA 130 mA 55 Ω 1s 300 mA 30 V 0,4 A 22 V SMD 1210
B59707A0120A062 50 mA 90 mA 120 Ω 1s 200 mA 80 V 0,3 A 25 V SMD 1210
Ih Haltestrom
Ia Ansprechstrom
R23 Widerstand bei 23 °C
ta Ansprechzeit
It Strom für ta
Umax Maximale Spannung
Imax Maximaler Strom
Uk Maximale Spannung bei Kurzschluss
Geh. Gehäuse als Scheibe oder SMD, ⌀ rund, ◻ rechteckig
  • Der maximale Strom Imax muss durch den Stromkreis, in dem sie verwendet werden, gewährleistet werden.
  • Imax ist der maximale Strom, der im Fehlerfall durch die Sicherung fließen darf, ohne diese zu beschädigen.
  • Imax kann z. B. bei einem Kurzschluss auftreten.
  • Uk ist die maximal zulässige Spannung, bei der die Sicherung im Kurzschlussfall nicht zerstört wird.
  • Der PFRA.110 ist z. B. bei Spannungen unter 8 V kurzschlussfest.
  • Die PFRA.250 und die LF 30R250U sind hingegen nicht kurzschlussfest.

Symbol

PTC_Sicherung_Symbol.png
Bild 1: Symbol einer selbstrückstellenden Sicherung
PTC_Symbol.png
Bild 2: Symbol eines PTC-Widerstands

Beide Symbole sind gebräuchlich.

Wirkung

Selbstrückstellende Sicherungen sind spezielle PTC-Widerstände.

  • Bei hohen Strömen werden sie hochohmig.
  • Nach Unterbrechung des Stroms werden sie wieder leitend.
  • Folgende Werte sind garantiert:
  • der minimal akzeptierte Strom (Haltestrom),
  • der maximale Auslösestrom (Ansprechstrom) und
  • die maximale Ansprechzeit.

So funktionieren selbstrückstellende Sicherungen.

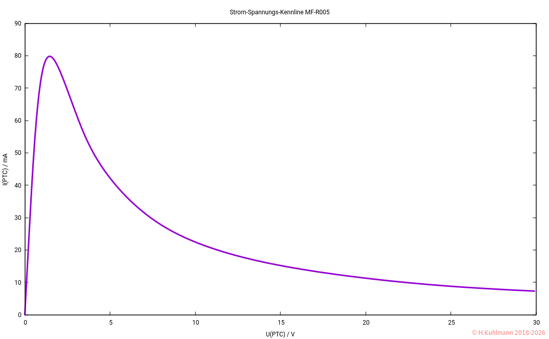
MF-R005 (50 mA, 10 Ω, 60 V, Scheibe) von Bourns

PTC_MF-R005_s.png
Bild 3: Strom-Spannungs-Kennlinie des MF-R005
  • Die Kennlinie hängt vom Einbau des PTC ab: z. B. von der Drahtlänge.
  • Bei etwa 1 V beginnt die Wirkung als Sicherung.
  • Der maximale Strom der Kennlinie tritt bei 1,5 V auf.
  • Dies ist jedoch nicht der Strom, der z. B. bei einem Kurzschluss kurzzeitig auftritt.
PTC_MF-R005-Zeit.png
Bild 4: Ansprechzeit des MF-R005

B59707A0120A062 (50 mA, 120 Ω, 80 V, SMD) von EPCOS

PTC_B59707A0120A062-R-T.png
Bild 5: Widerstands-Temperatur-Kennlinie des B59707A0120A062
  • Der Widerstand des B59707A0120A062 fällt wie bei einem NTC zwischen 20 °C und 80 °C ab.
  • Ab 100 °C steigt er steil an und zeigt das typische Verhalten eines PTC.
PTC_B59707A0120A062_s.png
Bild 6: Strom-Spannungs-Kennlinie des B59707A0120A062
  • Die Strom-Spannungs-Kennlinie des B59707A0120A062 ist bis etwa 5 V nicht gerade (linear), sondern steigt stärker an als bei einem ohmschen Widerstand.
  • Dies ist eine Folge des abnehmenden Widerstands bei Temperaturen unter 80 °C.
  • Ab 7 V verhält er sich wie eine Sicherung.
  • Dies ist eine Folge des ab 100 °C steigenden Widerstands.
PTC_B59707A0120A062-I-t.png
Bild 7: Ansprechzeit des B59707A0120A062

Die Ansprechzeit des B59707A0120A062 ist

  • bei geringem Überstrom (6s bei 100 mA) relativ langsam und
  • bei hohem Überstrom (0,1s bei 500 mA) relativ träge.

PTC mit NTC-Verhalten

Die Widerstands-Temperatur-Kennlinie des B59707A0120A062 ist typisch für PTC-Widerstände.

  • Bei niedrigen Temperaturen bis 60 °C bzw. 90 °C nimmt der Widerstand mit steigender Temperatur ab.
  • Wie bei NTC-Widerständen.
  • Über 60 °C bis 90 °C steigt der Widerstand dagegen steil mit der Temperatur an.
  • Dies ist ein typisches Verhalten eines PTC.
  • Aufgrund dieses Verhaltens sind
  • PTC-Widerstände nicht gut für Temperaturmessungen geeignet, aber
  • sie eignen sich gut zur Überwachung von Übertemperaturen und
  • als selbstrückstellende Sicherungen.
Attention >

Verwendung als Sicherung

  • Im Normalbetrieb darf der Strom den Haltestrom Ih nicht überschreiten.
  • Die Sicherung löst aus, wenn der Strom den Ansprechstrom Ia überschreitet.
  • Die Sicherung schaltet nach dem Auslösen nicht ab, sondern
  • begrenzt den Strom auf höchstens den Ansprechstrom Ia.
  • In den meisten Fällen ist der Strom nach dem Auslösen der Sicherung kleiner als der Haltestrom Ih.
  • Eine PTC-Sicherung löst verzögert aus.
  • Je nach Strom kann dies bis zu mehreren Sekunden dauern.
  • Wird der Strom reduziert oder der Stromkreis unterbrochen, schaltet die Sicherung wieder ein.

Gehäuse

Selbstrückstellende Sicherungen gibt es in bedrahteter und in SMD-Ausführung.

Attention >

THT und SMD

Montage von Bauelementen auf Leiterplatten

THT (Through Hole Technology) Durchsteckmontage

  • Die Anschlüsse von THT-Bauelementen werden durch Löcher in der Platine gesteckt und von unten verlötet.
  • THT-Bauelemente werden auf der Oberseite der Platine montiert.
  • Bedrahtete Bauelemente wie Widerstände und Kondensatoren werden in THT montiert. Dazu müssen die Anschlussdrähte entsprechend gebogen werden.

SMD (Surface Mounted Device) Oberflächenmontage

  • SMD-Bauelemente benötigen keine Bohrungen, sondern werden direkt auf Kupferpads gelötet.
  • SMD-Bauelemente können auf beiden Seiten einer Platine montiert werden.
PTC-Sicherungen-Gehaeuse.png
Bild 8: Gehäuse selbstrückstellender Sicherungen

Regeln

  • Selbstrückstellende Sicherungen sind spezielle PTC-Widerstände.
  • Sie haben einen garantierten Haltestrom, bei dem sie nicht auslösen, und
  • einen garantierten Auslösestrom, bei dem sie auslösen.
  • Sie haben eine Ansprechzeit, bis sie bei Überlast auslösen (beim 5- bis 10-fachen des Haltestroms).
  • Sie dürfen nur bis zu einer maximalen Spannung betrieben werden.
  • Außerdem dürfen sie nur bis zu einem maximalen Strom belastet werden.
  • Einige sind nicht kurzschlussfest (ab etwa 1 A).
  • Andere sind nur bis zu einer reduzierten Spannung kurzschlussfest.
  • Sie müssen frei eingebaut werden und
  • dürfen nicht berührt werden.
  • Sie sind von der Umgebungstemperatur abhängig.
  • Die Halte- und Ansprechströme sind unter 23 °C höher und
  • bei über 23 °C niedriger als angegeben.