../icons/Logo.pngPraktische Elektronik


Dioden lassen den Strom nur in eine Richtung fließen.


list.png

Dioden

Dioden sperren in einer Richtung.

Symbol

Dioden.png
Bild 1: Symbole von Dioden
Typ Bezeichnung Uf Imax ImaxK Umax Ir @ Ur Gehäuse TJmax
Silizium 1N4148 1 V 150 mA 100 V 50 nA @ 20 V DO-35 175 °C
Silizium 1N4148WS 1 V 150 mA 100 V 50 nA @ 20 V SOD-323 150 °C
Silizium 1N4001 1 V 1 A 50 V 5 µA @ 50 V DO-41 150 °C
Silizium 1N4004 1 V 1 A 400 V 5 µA @ 400 V DO-41 150 °C
Silizium 1N4007 1 V 1 A 1000 V 5 µA @ 1000 V DO-41 150 °C
Silizium 1N5404 1,2 V 3 A 400 V 10 µA @ 400 V DO-201AD 175 °C
Schottky BAT42 0,8 V 200 mA 100 V 0,5 µA @ 50 V DO-35 125 °C
Schottky BAT54 320 mV @1 mA 200 mA 30 V 0,1 µA @ 20 V SOT-23-3 125 °C
Schottky 1N5817 0,45 V 1 A 20 V 50 µA @ 5 V DO-41 125 °C
Schottky PMEG4010BEA 0,4 V 1 A 40 V 7 µA @ 10 V SOD-323 150 °C
Schottky MBR1045 0,5 V 5 A 10 A 45 V 20 µA @ 20 V TO-220 175 °C
Schottky SBX2040-3G < 0,45 V 5 A 20 A 40 V <100 µA @ 40 V DO-201 150 °C
LED rot, 3 mm 1,8 V 20 mA 5 V 10 µA @ 5 V LED 3 mm 85 °C
Z-Diode ZF 5,6 0,6 V 200 mA 5,6 V 10 µA @ 4 V DO-35 200 °C

Die BAT54 gibt es im SOT-23-3-Gehäuse als

Bezeichnung Typ 1 2 3
BAT54 Einzeldiode A K
BAT54 A Doppeldiode K K AA
BAT54 C Doppeldiode A A KK
BAT54 S Doppeldiode A K KA

Die Zahlen bezeichnen die Pins des SOT-23-3-Gehäuses. Am Pin 3 können die gemeinsame Anode (AA), die gemeinsame Kathode (KK) oder eine Kathode und eine Anode einer Doppeldiode liegen.

Silizium Siliziumdiode
Schottky Schottkydiode
LED Leuchtdiode
Z-Diode Zenerdiode
Uf Flussspannung bei Imax
Imax maximal zulässiger Strom ohne Kühlkörper
ImaxK maximal zulässiger Strom bei optimal gekühlter Montage
Umax maximale zulässige Spannung
Ir @ Ur Sperrstrom bei Sperrspannung
TJmax maximale zulässige Temperatur im Chip
Diese Grenzwerte dürfen nicht überschritten werden. Siehe: Betriebsdaten und Grenzdaten
  • Dioden für höhere Ströme über 1 A werden Gleichrichterdioden genannt.
  • Ströme über 1 A sind nur bei optimaler Kühlung zulässig.
  • Die Schottkydiode PMEG4010BEA hat bei kleinen Strömen eine besonders geringe Flussspannung.

Wirkung

Der Strom fließt nur in Pfeilrichtung von Plus nach Minus. Er fließt nur von der Anode zur Kathode.

Spezielle Dioden

  • Z-Dioden sind spezielle Dioden,
    die bei einer bestimmten Spannung in Sperrrichtung leitend werden.
  • LEDs sind spezielle Dioden,
    die Licht aussenden, wenn Strom fließt.

Kennlinien

Kennlinien sind im Praktikum Kennlinien beschrieben.

Die wichtigste Kennlinie von Dioden ist der Spannungsabfall in Durchlassrichtung. Diese Spannung wird Flussspannung genannt.

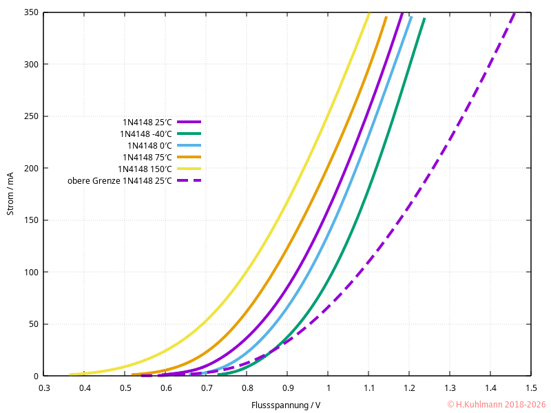
1N4148

1N4148.png
Bild 2: Kennlinie einer 1N4148

Die magentafarbene Kennlinie entspricht der typischen Kennlinie einer 1N4148. Aufgrund von Exemplarstreuungen kann die Kennlinie jedoch auch der gestrichelten Linie entsprechen. Es sind außerdem die Kennlinien für verschiedene Temperaturen dargestellt.

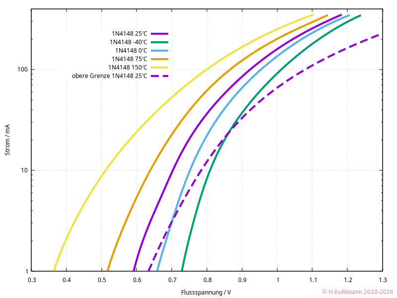
1N4148-log.png
Bild 3: Logarithmische Kennlinie einer 1N4148

In Bild 3 ist der Strom nicht gleichförmig (linear), sondern gespreizt (logarithmisch) dargestellt. Dadurch kann ein großer Strombereich abgebildet werden. Die Flussspannungen lassen sich so bei kleinen Strömen einfacher ablesen.

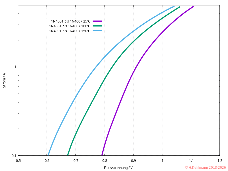
1N4001 bis 1N4007

Die 1N4001 bis 1N4007 sind häufig eingesetzte Gleichrichterdioden für 1 A.

1N4007.png
Bild 4: Logarithmische Kennlinie der 1N4001 bis 1N4007

Kennlinien einiger Dioden

Diodenkennlinie_s.png
Bild 5: Kennlinien einiger Dioden

Sperrstrom

Wenn eine Diode in Sperrrichtung betrieben wird, fließt ein kleiner Strom, der Sperrstrom.

  • Kleine Siliziumdioden wie die 1N4148 haben einen Sperrstrom von weniger als 0,1 µA.
  • Gleichrichterdioden wie die 1N4007 haben einen Sperrstrom von etwa 10 µA.
  • Schottkydioden haben einen höheren Sperrstrom als Siliziumdioden.
  • Der Sperrstrom steigt mit zunehmender Temperatur.
  • Der typische Sperrstrom wird für 25 °C angegeben.
  • Als Faustregel gilt, dass sich der Sperrstrom je 25 °C verdoppelt.

Gehäuse

DO35.png
Bild 6: DO-35-Gehäuse (Glas) mit 4 mm Länge

Der weiße/schwarze Ring ist die Kathode.

DO41.png
Bild 7: DO-41-Gehäuse (Kunststoff) mit 6 mm Länge

Das DO-201AD-Gehäuse (Kunststoff) ist 9 mm lang.

Der weiße Ring ist die Kathode.

TO220.png
Bild 8: TO-220-Gehäuse

Das TO-220-Gehäuse besteht aus Kunststoff und hat eine Kühlfahne. Die Anschlussbelegung ist nicht einheitlich. Meist ist der mittlere Anschluss (b) mit der Kühlfahne (d) verbunden. Die Anschlüsse haben einen Abstand von 2,54 mm.

Bei der MBR1045 und BYT79-500 fehlt der Anschluss b. Die Anode liegt am Anschluss c. Die Kathode befindet sich am Anschluss a und an der Kühlfahne d.

SOT23-3.png
Bild 9: SMD-Gehäuse SOT-23-3
SOD-323.png
Bild 10: SMD-Gehäuse SOD-323

Die Kathode ist weiß gekennzeichnet.

Thermische Eigenschaften

Der maximal zulässige Strom durch eine Diode ist abhängig von der Umgebungstemperatur und von der Art der Montage der Diode. Außerdem hängt der zulässige Strom von der maximalen zulässigen Temperatur ab.

Dioden-Imax.png
Bild 11: Maximal zulässiger Strom bei Temperatur

Die Skala für den maximal zulässigen Strom (in mA) der Dioden 1N4148, BAT42 und BAT54 befindet sich auf der rechten Seite.

Für Gleichrichter mit zulässigen Strömen bis zu 5 A gilt die linke Skala. Alle Gleichrichter sind freistehend montiert und werden nicht zusätzlich gekühlt.

  • Für die Schottky-Gleichrichter MBR1045 und SBX2040-3G gibt es zwei Kurven.
  • Die eine (DC) gilt für Gleichstrom und die andere für impulsförmigen Strom. Der Strom für die Impulse ist der mittlere Strom.
  • Die 60 °C-Linie ist eine gute Wahl für die Temperaturen, die bei der üblichen Montage auftreten.
  • Der maximale Strom der Dioden muss für die Umgebungstemperatur von 60 °C angepasst werden:
Diode Maximaler Strom bei 60 °C
1N4148 120 mA
1N4001 - 1N4007 1 A
BAT42 und BAT54 260 mA
1N5404 3 A
1N5817 1 A
MBR1045 3,8 A bzw. 1,95 A für Impulsbetrieb
SBX2040-3G 5 A bzw. 4,5 A für Impulsbetrieb

Regeln

  • Eine Diode lässt den Strom nur in Pfeilrichtung fließen.
  • Eine Ausnahme bilden die Z-Dioden. Sie lassen ab einer bestimmten Sperrspannung Strom fließen.
  • Die Anode muss nach Plus zeigen, wenn Strom fließen soll.
  • Der Farbring zeigt nach Minus, wenn die Diode leiten soll.
  • Die 1N4148 wird gerne verwendet, weil sie so klein ist. Sie wird immer dann eingesetzt, wenn es um kleine Ströme von wenigen mA geht.
  • Die 1N4148WS ist eine 1N4148 in einem SMD-Gehäuse.
  • Eine Schottkydiode wird verwendet, wenn hohe Ströme fließen und die Verluste gering sein sollen.
  • Eine Schottkydiode wird verwendet, wenn Eingänge gegen negative Spannungen geschützt werden müssen.
  • Geeignet ist z. B. die BAT42.
  • Eine Diode erzeugt Verluste, wenn ein Strom fließt. An ihr fällt eine Spannung ab, die Flussspannung.
  • Bei relativ kleinen Strömen unter Imax / 10 beträgt die Flussspannung einer Siliziumdiode etwa 0,6 V.
  • Bei relativ kleinen Strömen unter Imax / 10 beträgt die Flussspannung einer Schottkydiode etwa 0,3 V.
  • Schottkydioden sind teurer als Siliziumdioden.
  • In Sperrrichtung fließt ein geringer Sperrstrom.
  • Der Sperrstrom einer Schottkydiode ist größer als der einer Siliziumdiode.
  • Bei höheren Umgebungstemperaturen muss der maximale Strom durch eine Diode reduziert werden.
  • Die 1N4004 ist das Arbeitspferd der Elektroniker.
  • Sie kann mit bis zu 1 A belastet werden.
  • Die 1N5404 ist für Ströme bis 3 A geeignet.
  • Ab 1 A müssen die Anschlussdrähte gekühlt werden.

Die Drähte werden so kurz wie möglich in eine Leiterplatte mit Kupferfläche eingebaut.

  • Gleichrichter in TO-220-Gehäusen müssen für höhere Ströme gekühlt werden.