../icons/Logo.pngPraktische Elektronik


Z-Dioden lassen in Sperrrichtung ab einer bestimmten Spannung Strom fließen.


list.png

Z-Dioden

Symbol

Zenerdiode-Symbol.png
Bild 1: Symbol für Z-Dioden

Eine Z-Diode sperrt in Sperrrichtung bis zu einer bestimmten Durchbruchspannung und lässt dann Strom durch. Diese Spannung ändert sich nur wenig mit dem Strom. Das macht sie ideal für Spannungsstabilisierung und Spannungsbegrenzung.

Z-Dioden werden oft als Zenerdioden bezeichnet. Dies ist für Z-Dioden über 5 V falsch. Wir verzichten auf diese Diskussion und halten nur fest, dass Zenerdioden Z-Dioden sind.

Bezeichnung Imax Uz @ Iz IR @ Uz ZZk @ Iz Pmax Gehäuse TJmax
BZX79-C3V3 100 mA 3,3 V @ 5 mA 5 µA @ 1 V 85 Ω @ 5 mA 400 mW DO-35 200 °C
BZX79-C5V6 70 mA 5,6 V @ 5 mA 1 µA @ 2 V 15 Ω @ 5 mA 400 mW DO-35 200 °C
BZX79-C12 30 mA 12 V @ 5 mA 0,1 µA @ 8 V 10 Ω @ 5 mA 400 mW DO-35 200 °C
BZX55C3V3 130 mA 3,3 V @ 5 mA < 2 µA @ 1 V < 85 Ω @ 5 mA 500 mW DO-35 175 °C
BZX55C5V6 80 mA 5,6 V @ 5 mA < 0,1 µA @ 2 V < 25 Ω @ 5 mA 500 mW DO-35 175 °C
BZX55C12 38 mA 12 V @ 5 mA < 0,2 µA @ 9,1 V < 85 Ω @ 5 mA 500 mW DO-35 175 °C
1N4728 A 276 mA 3,3 V@76 mA 100 µA @ 1 V 10 Ω @ 76 mA 1300 mW DO-41 175 °C
1N4734 A 162 mA 5,6 V @ 45 mA 10 µA @ 2 V 5 Ω @ 45 mA 1300 mW DO-41 175 °C
1N4742 A 76 mA 12 V @ 21 mA 5 µA @ 9,1 V 9 Ω @ 21 mA 1300 mW DO-41 175 °C
BZX85C3V3 300 mA 3,3 V @ 80 mA 40 µA @ 1 V 20 Ω @ 80 mA 1300 mW DO-41 175 °C
BZX85C5V6 180 mA 5,6 V @ 45 mA 1 µA @ 2 V 7 Ω @ 45 mA 1300 mW DO-41 175 °C
BZX85C12 88 mA 12 V @ 20 mA 0,5 µA @ 9,1 V 9 Ω @ 20 mA 1300 mW DO-41 175 °C
Alte Bezeichnung ersetzt durch
ZF3.3 BZX79-C3V3
ZF5.6 BZX79-C5V6
ZF12 BZX79-C12
Imax maximaler zulässiger Strom durch die Z-Diode
Uz @ Iz Z-Spannung bei Z-Strom
IR @ Uz Leckstrom bei Z-Spannung
ZZk @ Iz differenzieller Widerstand bei Z-Strom
Pmax maximal zulässige Leistung
TJmax maximal zulässige Temperatur im Chip
Diese Grenzwerte dürfen nicht überschritten werden. Siehe: Betriebsdaten und Grenzdaten

Wirkung

Der Strom fließt in der eingezeichneten Richtung von Plus nach Minus. Er fließt von der Anode zur Kathode, wobei eine Flussspannung von ca. 0,6 V abfällt.

In der Gegenrichtung sperrt die Z-Diode, solange die Spannung kleiner als die Z-Spannung ist. Fließt ein Strom in Sperrrichtung, so fällt an der Z-Diode (fast) genau die Z-Spannung ab. Diese Z-Spannung ändert sich nur wenig mit dem Strom.

Natürlich ist eine Z-Diode nicht ideal.

  • Die Z-Spannung hängt vom Strom ab, der durch die Z-Diode fließt.
  • Der differenzielle Widerstand hängt vom Typ der Z-Diode und vom Z-Strom ab.
  • Wenn die Spannung kleiner als die Z-Spannung ist, fließt ein kleiner Leckstrom.
    Der Leckstrom einer BZX85C5V6 für 5,6 V beträgt bei 2 V weniger als 1 µA.

Lieferbare Werte

Die lieferbaren Z-Spannungen der Z-Dioden entsprechen der E-Reihe. Sie werden meist in E12, aber auch in E24 geliefert.

Das Tool E-Reihen kann passende Werte aus den E-Reihen auswählen.

Die Z-Dioden werden mit einer Toleranz von 5 % (C) geliefert. Es gibt sie auch mit 2 % (B) und 1 % (A).

Schaltung

Eine Z-Diode wird häufig über einen Vorwiderstand an einer Spannungsquelle betrieben. Der Vorwiderstand R begrenzt den Strom durch die Z-Diode. An der Z-Diode fällt die Z-Spannung ab. Die Z-Spannung ändert sich nur wenig, wenn sich die Versorgungsspannung ändert. Dadurch kann eine stabile (-re) Spannung erzeugt werden.

Zenerdiode.png
Bild 2: Z-Spannung an einer Z-Diode

Gehäuse

DO35.png
Bild 3: DO-35-Gehäuse (Glas) mit 4 mm Länge

Der weiße bzw. schwarze Ring ist die Kathode.

DO41.png
Bild 4: DO-41-Gehäuse (Kunststoff) mit 6 mm Länge

Der weiße Ring ist die Kathode.

Kennlinien

Z-Dioden verhalten sich in Durchlassrichtung wie normale Dioden.

Kennlinie-Z-Dioden_s.png
Bild 5: Kennlinien einiger Z-Dioden in Sperrrichtung, einer Siliziumdiode und zweier LEDs

Die oben dargestellten Kennlinien von Z-Dioden gelten für die Z-Dioden der Serie BZX85 mit einer Belastbarkeit bis zu 1300 mW.

Die Punkte stellen den Strom dar, bei dem die Spannung spezifiziert wurde.

Zum Vergleich sind die Kennlinien einer grünen und einer blauen LED sowie der Diode 1N4148 dargestellt.

Generell sind die Kennlinien der Z-Dioden unterhalb von 5,6 V stärker gekrümmt. Oberhalb von 5,6 V sind sie relativ steil.

Für Z-Spannungen unter 10 V heißen die Dioden BZX85C3V3 (3,3 V) und ab 10 V BZX85C12 usw.

Die Kennlinien von Z-Dioden mit geringerer Leistung, z. B. die BZX79-Cxxx, haben einen ähnlichen Verlauf, jedoch bei geringeren Strömen.

Die Kennlinien können auch in der Spannung verschoben sein, da die spezifizierten Spannungen der Z-Dioden bei 5 mA (rote Linie) gelten. Die Ströme sind rechts in mA angegeben. Insbesondere bei kleinen Z-Spannungen passen die Verläufe nicht.

Die passende Kennlinie erhält man, wenn man die Kurve auswählt, die die rote 5 mA-Linie bei der spezifizierten Spannung schneidet. Für eine 3,3-V-Z-Diode BZX79-C3V3 schneidet die Kennlinie 3,9 die 5 mA-Linie bei 3,3 V. Die Kennlinie der BZX79-C3V3 entspricht dann der Kennlinie 3,9.

Differenzieller Widerstand

In Bild 5 sind für drei Z-Dioden differenzielle Widerstände eingetragen. Der jeweilige differenzielle Widerstand beschreibt das Verhalten einer Z-Diode bei einem bestimmten Z-Strom.

Je steiler die Kennlinie einer Z-Diode ist, desto kleiner ist der differenzielle Widerstand. Z-Dioden ab 5,6 V haben kleine differenzielle Widerstände.

Thermische Eigenschaften

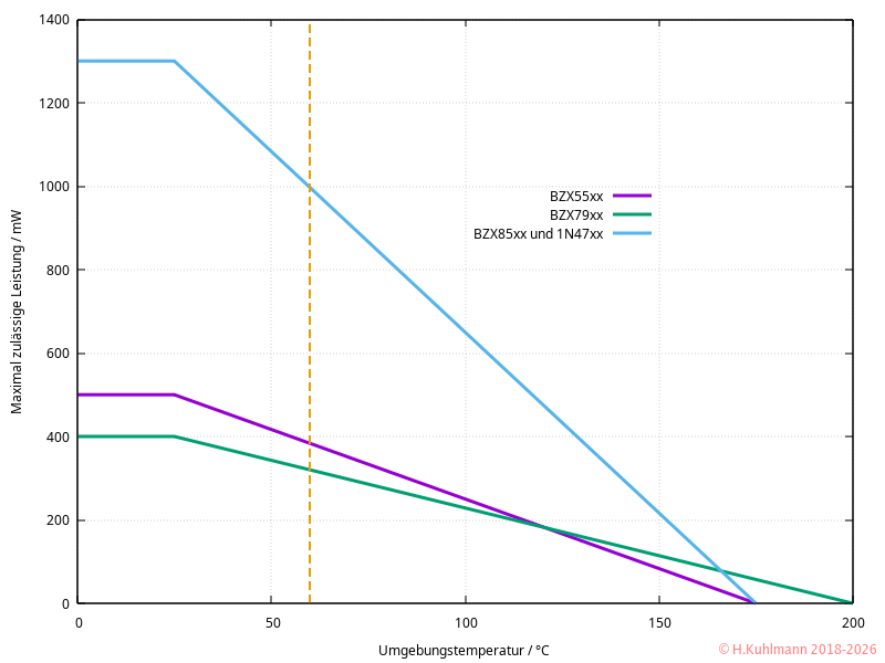
Die maximal zulässige Leistung an der Z-Diode hängt von der Umgebungstemperatur und der maximal zulässigen Temperatur ab.

Z-Dioden-Pmax.png
Bild 6: Maximal zulässige Leistung an Z-Dioden in Abhängigkeit von der Umgebungstemperatur

Die 60 °C-Linie ist eine gute Wahl für die Temperaturen, die bei der üblichen Montage auftreten. Die maximale Leistung der Z-Dioden muss für eine Umgebungstemperatur von 60 °C angepasst werden:

Z-Diode Maximale Leistung bei 60 °C
BZX55xx 300 mW
BZX79xx 380 mW
BZX85xx und 1N47xx 1000 mW

Suppressordioden

Suppressordioden sind spezielle Z-Dioden, die zur Begrenzung von Spannungsspitzen eingesetzt werden. Sie können kurzzeitig sehr hohe Leistungen aufnehmen.

Typische Anwendungen sind die Begrenzung von elektrostatischen Entladungen und kurzzeitigen Spannungsspitzen, wie sie z. B. in Bordnetzen von Kraftfahrzeugen auftreten.

Typ Schützt Ppp Upp @ Ipp Upp @ Ipp Upp @ Ipp Gehäuse
1N5908 5 V 1500 W 7,6 V @ 30 A 8 V @ 60 A 8,5 V @ 120 A DO-201
SM5908 5 V 1500 W 7,6 V @ 30 A 8 V @ 60 A 8,5 V @ 120 A SMC (DO-214AB)
1.5KE12 9 V 1500 W 17,3 V @ 91 A DO-201
1.5KE15 12 V 1500 W 22 V @ 71 A DO-201
  • Die SM5908 ist eine 1N5908 im SMD-Gehäuse.
Ppp maximal absorbierte Leistung für einen (10/100µs) Impuls
Upp @ Ipp Die Spitzenspannung wird bei einem Strom Ipp nicht überschritten

Ein (10/100µs) Impuls steigt in 10µs an und ist nach 100µs beendet.

Suppressordioden werden parallel zur zu schützenden Spannungsquelle geschaltet.

Gehäuse

Die 1N5908, 1.5KE12 und 1.5KE15 werden im DO-201 Kunststoffgehäuse mit 5,6 mm Durchmesser und 9,5 mm Länge geliefert. Der weiße Ring ist die Kathode.

Die SM5908 wird im SMD-Gehäuse SMC (DO-214AB) geliefert.

Regeln

  • Z-Dioden lassen bei der spezifizierten Spannung, der Z-Spannung, einen Strom in Sperrrichtung fließen.
  • In Durchlassrichtung verhält sich eine Z-Diode wie eine normale Siliziumdiode.
  • Wird die Spannung an der Z-Diode nur geringfügig größer als die Z-Spannung, so steigt der Strom stark an.
  • Ist die Spannung an der Z-Diode kleiner als die Z-Spannung, fließt nur ein geringer Strom.
  • Die Kennlinien von Z-Dioden unter 6 V sind nicht so steil wie die von Z-Dioden über 6 V.
  • Bei kleinen Spannungen unter 3 V kann eine LED, insbesondere eine grüne, bessere Ergebnisse liefern.
  • Mit Z-Dioden kann eine stabilisierte Spannung leicht erzeugt werden.
  • Integrierte Spannungsregler sind heutzutage besser.
  • Überspannungen können mit Z-Dioden begrenzt werden.
  • Dafür gibt es spezielle Z-Dioden, die Suppressordioden genannt werden.
  • Z-Dioden werden meist für kleine Leistungen benötigt.
  • BZX79xx sollten mit bis zu 250 mW, die BZX85xx mit bis zu 800 mW belastet werden.