../../../icons/Logo.pngPraktische Elektronik


Wir untersuchen eine Ideale Diode.


list.png

Ideale Diode

Stromversorgung


Ideale Diode

Attention attention

Hier wird ein MOSFET verwendet. Er ist empfindlich gegen elektrostatische Entladung.

Bitte Vorsicht elektrostatische Entladung beachten.

Wie wir bereits aus dem Praktikum Dioden wissen, lässt eine Diode in Sperrrichtung keinen Strom durch. In Durchlassrichtung lässt sie Strom ungehindert fließen.

Reale Dioden haben jedoch in Durchlassrichtung einen Spannungsabfall, die Flussspannung. Außerdem haben sie eine maximal zulässige Sperrspannung:

Typ Bezeichnung Flussspannung maximale Sperrspannung maximaler Strom
rote LED 3 mm 1,8 V 5 V 20 mA
Diode 1N4001 1,0 V 50 V 1 A
Diode 1N4004 1,0 V 400 V 1 A
Diode 1N4007 1,0 V 1000 V 1 A
Diode 1N4148 1,0 V 100 V 200 mA
Schottky-Diode 1N5817 0,55 V 20 V 1 A

Häufig werden Dioden weit unter ihrem maximal zulässigen Strom betrieben (z. B. mit 1 mA). In diesem Fall kann für eine Siliziumdiode eine Flussspannung von 0,6 V und für eine Schottky-Diode von 0,3 V angenommen werden. Eine Siliziumdiode hat auch bei sehr kleinen Strömen (unter 1 µA) eine Flussspannung um 0,6 V. Bei einer Schottky-Diode liegt die Flussspannung bei sehr kleinen Strömen (unter 1 µA) nahe 0,0 V.

Insbesondere bei kleinen Betriebsspannungen stört die Flussspannung der Dioden. Sie verursacht relativ hohe Verluste, die zusätzlich durch Kühlmaßnahmen abgeführt werden müssen.

Ideal wäre eine Diode mit einer Flussspannung von 0 V, auf jeden Fall aber weniger als die 1,0 V einer Siliziumdiode bzw. 0,55 V einer Schottkydiode.

Wir haben bereits eine "Diode" mit niedriger Flussspannung kennengelernt. Im Praktikum Komplementäre Transistoren haben wir uns mit einem Verpolungsschutz beschäftigt:

Verpolungsschutz-MOSFET.png
Bild 1: Verpolungsschutz mit zwei LEDs und P-MOSFET

Im Prinzip handelt es sich um eine Diode mit einem parallelen MOSFET. Die Diode ist die im MOSFET enthaltene Body-Diode.

Wird am Eingang eine Spannung angelegt, fließt über die Body-Diode ein Strom in den Lastwiderstand RL. An RL fällt dann eine Spannung ab, die annähernd der Eingangsspannung entspricht. Annähernd deshalb, weil an der Body-Diode 0,6 V abfallen. Die Ausgangsspannung ist die Gate-Source-Spannung Ugs des P-MOSFET. Ugs = -Ua. Wenn die Gate-Source-Schwellenspannung des MOSFET überschritten wird, leitet der MOSFET und schließt die Diode kurz. Dadurch wird der Spannungsabfall an der "Diode" viel kleiner. Die Spannung beträgt etwa 50 mV statt über 600 mV bei einer Siliziumdiode.

Deshalb wird diese Schaltung als "Ideale Diode" bezeichnet.

Bei einer negativen Eingangsspannung sperrt einerseits die Body-Diode, andererseits wird der P-MOSFET durch eine positive Gate-Source-Spannung gesperrt: Die "Diode" sperrt.

Leider ist diese "Diode" alles andere als ideal.

Verpolungsschutz-MOSFET-reverse.png
Bild 2: Eine Spannung am Ausgang des Verpolungsschutzes

In Bild 2 wird die "Ideale Diode" in Sperrrichtung betrieben. Der MOSFET ist gegenüber Bild 1 gedreht und Eingang und Ausgang sind vertauscht:

Uout in Bild 1 ist Uein in Bild 2 und Uin ist Uaus.

Die Body-Diode sperrt, wenn Uein positiv ist. Ist Uein größer als die Gate-Source-Schwellenspannung des MOSFET, schaltet dieser ein. Es fließt ein Strom von +Uein über RL nach -Uein (Bild 2), also von +Uout über RL nach -Uout (Bild 1).

  • Dieser Strom fließt in Sperrrichtung unserer "Idealen Diode".

Unsere "Ideale Diode" ist keineswegs ideal:

  • wenn die Spannung Uaus über der Gate-Source-Schwellenspannung des MOSFET liegt, sperrt die "Ideale Diode" nicht.

Der Verpolungsschutz in Bild 1 funktioniert trotzdem, da wir keine Spannungsquelle am Ausgang Uout haben.

Für Fortgeschrittene

  • Am Ausgang des Verpolungsschutzes in Bild 2 können sich Kondensatoren befinden, die noch eine Restspannung haben und den MOSFET einschalten.
  • Wenn sich am Ausgang in Bild 2 ein Akku befindet, ist die Situation noch problematischer, da der Akku Strom in die Ladeschaltung am Eingang liefern kann.

Verbesserung der Idealen Diode

Attention sticker Dieser Teil des Praktikums ist nur für Fortgeschrittene gedacht.

Für Einsteiger sind die Regeln am Schluss interessant.

Wir müssen unsere Schaltung so ergänzen, dass der MOSFET nicht eingeschaltet wird, wenn die Drain-Source-Spannung negativ ist.

Ideale-Diode-mit-Stromspiegel-1.png
Bild 3: Ideale Diode mit Stromspiegel

In Bild 3 haben wir unsere nicht ganz ideale Diode mit einem Stromspiegel aus dem Praktikum Kleine Spannungen mit dem Stromspiegel messen kombiniert. Außerdem haben wir die NPN-Transistoren durch PNP-Transistoren ersetzt.

Um die Schaltung zu verstehen, ersetzen wir den MOSFET durch einen Widerstand Rm.

Ideale-Diode-mit-Stromspiegel-2.png
Bild 4: Widlar-Stromspiegel mit PNP-Transistoren

Wir können die Gleichungen(2) aus dem Praktikum Kleine Spannungen mit dem Stromspiegel messen übernehmen. Die Messspannung Um muss wegen des umgekehrten Spannungspfeils (PNP) negativ eingesetzt werden.

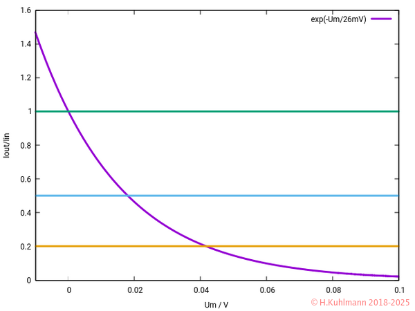
Iout = Iin *  exp( -Um / Ut )
Iout = Iin *  exp( -Um / 26mV )

Gleichungen (2)

StromSpiegel-Plot.png
Bild 5: Ströme im Stromspiegel mit Eingangsspannung

Im Folgenden erscheinen die negativen Vorzeichen, weil wir PNP-Transistoren und einen P-MOSFET haben.

1.
Bei einer Messspannung Um = 0 V sind die Ströme Iout und Iin gleich. (Die rote Linie kreuzt die grüne 1).
2.
Der Ausgangsstrom Iout steigt exponentiell an, wenn die Messspannung Um negativ ist.
3.
Bei positiver Messspannung Um fällt der Ausgangsstrom exponentiell ab.
4.
Die Messspannung Um liegt im mV-Bereich.
5.
Die Spannung an R2 ist proportional zum Ausgangsstrom des Stromspiegels.
6.
Wenn die Messspannung Um=0 V ist, ist die Kollektor-Emitter-Spannung -Uce des Transistors Q3 gleich der von Q2, also bei 0,6 V.
7.
Bei einer negativen Messspannung ist die Kollektor-Emitter-Spannung -Uce des Transistors Q3 noch kleiner ;-)
8.
Die Kollektor-Emitter-Spannung -Uce des Transistors Q3 steigt mit positiver Messspannung Um exponentiell.
9.
In der Schaltung mit der idealen Diode (Bild 3) entspricht die Gate-Source-Spannung -Ugs des MOSFET der Kollektor-Emitter-Spannung -Uce von Q3.
10.
Die Messspannung Um entspricht der Drain-Source-Spannung -Uds des MOSFET.
11.
Bei -Uds von 0 V oder negativer -Uds (die Eingangsspannung ist kleiner als die Ausgangsspannung) ist der MOSFET ausgeschaltet ( -Uce = -Ugs ≤ 0,6 V ).
12.
Der MOSFET hat z. B. eine Gate-Source-Schwellenspannung von -Ugsth von etwa 4 V.
13.
Damit -Uce 4 V beträgt, muss der Strom Iout auf etwa 0,2 * Iin gefallen sein. Das bedeutet, dass der MOSFET ab -Um = -Uds = 40 mV leitend wird.
14.
_Wenn die Eingangsspannung größer als die Ausgangsspannung ist, ist der MOSFET zwar eingeschaltet, aber es ist ein geringer Spannungsabfall in der Größenordnung von 50 mV erforderlich.

Fazit

  • Die Ideale Diode sperrt bei negativer Spannung.
  • In Durchlassrichtung fällt an ihr eine Spannung von etwa 50 mV ab. Diese Spannung kann wegen des Einschaltwiderstands Rdson des MOSFET höher sein.

Maximale Sperrspannung

Die maximale Sperrspannung der Idealen Diode ist begrenzt. Sie hängt von der maximal zulässigen Sperrspannung des Transistors Q2 ab.

Wenn wir eine Ausgangsspannung haben, aber die Eingangsspannung 0 V oder sogar negativ ist, wird die Basis-Emitter-Strecke von Q2 in Sperrrichtung betrieben. Die maximal zulässige Sperrspannung moderner Transistoren beträgt Ubeo=-5 V. Wird diese Spannung überschritten, wird die Basis-Emitter-Strecke von Q2 leitend. Es fließt ein Strom von +Uout über den Emitter zur Basis von Q3, über die Basis zum Emitter von Q2 und über die Eingangs-Stromquelle nach -U. Der Strom wird nur durch die Ausgangs-Stromquelle und die Eingangs-Stromquelle begrenzt. Der Transistor Q2 wird dabei mit ziemlicher Sicherheit zerstört.

Hätten wir jedoch Transistoren mit höherer Ubeo, dann hätte damit unsere Ideale Diode eine höhere Sperrspannung. Der alte MPS400A mit Ubeo=-25 V ist geeignet, aber schwer zu bekommen. Der CMPT404A im SOT-Gehäuse ist ein verfügbarer Ersatz.

Attention >

Mit Standardtransistoren können wir unseren Stromspiegel nur für Spannungen bis 5 V verwenden.

Attention >

Wenn wir den MOSFET IRLML6402 verwenden, können wir unseren Stromspiegel nur bis 12 V verwenden, auch wenn wir spezielle Transistoren einsetzen.

Nicht identische Transistoren

Selbst bei Verwendung von Doppeltransistoren, wie z. B. BCV62 kann nicht davon ausgegangen werden, dass die Transistoren völlig identisch sind. Die Basis-Emitter-Spannung der Transistoren kann ohne Weiteres um 10 mV voneinander abweichen.

Attention attention

Wenn die Basis-Emitter-Spannungen der Transistoren stark voneinander abweichen,

  • kann der MOSFET schon bei einer negativen Messspannung von wenigen mV leitend werden.
  • Das ist sehr unangenehm, da die Ideale Diode dann bei kleinen Sperrspannungen bis zu 50 mV in Sperrrichtung leitet.

Regeln

  • Diode mit parallelem MOSFET (Bild 1)
  • Ein MOSFET kann unter bestimmten Umständen die Durchlassspannung einer Diode wesentlich verringern.
  • Er kann als einfacher Verpolungsschutz eingesetzt werden.
  • Er darf nicht als Gleichrichter mit einem Kondensator am Ausgang verwendet werden.
  • Er darf nicht als Gleichrichter zum Laden von Akkumulatoren verwendet werden.
  • Er darf nicht zur Entkopplung beim Laden von Akkumulatoren aus zwei Spannungsquellen verwendet werden.
  • Ideale Diode mit Stromspiegel (Bild 3)
  • Sie hat eine niedrige Durchlassspannung von etwa 50 mV.
  • Sie kann zur Entkopplung von zwei Spannungsquellen verwendet werden.
  • Die Transistoren müssen gepaart sein. Wenn die Basis-Emitter-Spannungen der beiden Transistoren voneinander abweichen, kann es vorkommen, dass:
  • die Durchlassspannung der Idealen Diode höher ist und
  • die Ideale Diode bei geringen Spannungen in Sperrrichtung leitet.
  • Sie kann nur bei Spannungen bis 5 V und nur mit Spezialtransistoren bis zu 12 V verwendet werden.
  • Für Spannungen über 6 V ist eine kräftige Schottkydiode besser geeignet.