../../../icons/Logo.pngPraktische Elektronik


Wir betrachten die Kennlinien von Transistoren und MOSFETs.


list.png

Kennlinien von Transistoren


Kennlinien von Transistoren

Bisher haben wir die Kennlinien von zweipoligen Bauelementen wie Widerständen und Dioden betrachtet. Ein Transistor hat drei Anschlüsse. Daher kann das Verhalten von Transistoren unter verschiedenen Gesichtspunkten betrachtet werden.

  • Eingangskennlinie: Das Verhalten des Eingangs zwischen Basis und Emitter.
  • Ausgangskennlinie: Das Verhalten des Ausgangs zwischen Kollektor und Emitter.

Eingangskennlinien von NPN-Transistoren

Attention >

Kennlinien

Kennlinien werden im Praktikum Arbeiten mit Kennlinien vorgestellt.

Das Rezept Kennlinien aufnehmen und darstellen ist eine Anleitung zum Messen und Darstellen von Kennlinien.

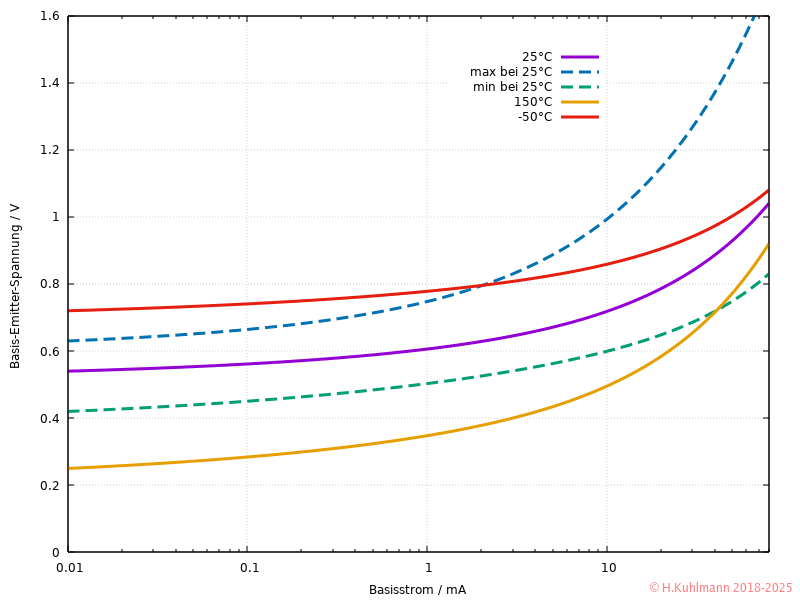
Die Eingangskennlinie eines Transistors stellt die Basis-Emitter-Spannung Ube bei Basisströmen Ib dar.

BC337-Eingangskennlinie.png
Bild 1: Basis-Emitter-Spannung eines BC337

Bild 1 zeigt den Verlauf der Basis-Emitter-Spannung bei drei verschiedenen Temperaturen. Die Linien min und max bei 25 °C zeigen: Die Basis-Emitter-Spannung kann sehr stark vom Mittelwert abweichen.

  • Für uns ist der Verlauf bei 25 °C wichtig:
  • Bei Ib = 1 mA ist Ube = 0,6 V
  • Bei Ib = 10 mA ist Ube = 0,7 V
  • Die Eingangskennlinie eines Transistors entspricht der einer Diode.
  • Man spricht deshalb auch von einer Basis-Emitter-Diode.
  • Die Basis-Emitter-Diode eines Transistors verhält sich in Sperrrichtung wie eine 5 V-Z-Diode.

Ausgangskennlinien von NPN-Transistoren

Das Verhalten des Ausgangs eines Transistors ist sehr interessant. Es wird dargestellt, welcher Kollektorstrom bei welcher Kollektor-Emitter-Spannung fließt. Ein Kollektorstrom fließt natürlich nur, wenn ein Basisstrom gegeben ist. Meist werden Kennlinien für verschiedene Basisströme dargestellt.

BC337-Ausgangskennlinie.png
Bild 2: Ausgangskennlinien eines BC337

Bild 2 zeigt die Kennlinien für eine Reihe von Basisströmen. Die Kennlinien sehen für Kollektor-Emitter-Spannungen über 1 V relativ langweilig aus. Sie sind ziemlich flach und gerade, d. h., sie hängen kaum von der Kollektor-Emitter-Spannung ab.

Unterhalb von Uce=1 V knicken die Kennlinien stark ab und gehen in Richtung (0 V, 0 mA). Liegt Uce unter 0,6 V, arbeitet der Transistor in der Sättigung. Dies erfordert höhere Basisströme.

Aus den Kennlinien in Bild 2 ist gut zu erkennen, dass ein BC337 für kleine Kollektor-Emitter-Spannungen Uce einen höheren Basisstrom Ib benötigt.

Betrachten wir einen Kollektorstrom Ic=100 mA:

  • Die Kennlinie für Ib=0,4 mA schneidet die 100 mA-Linie bei Uce=1 V;
  • d. h., für Uce=1 V bei Ic=100 mA ist ein Basisstrom von Ib=0,4 mA erforderlich.
  • Für Uce=0,3 V bei Ic=100 mA ist ein Basisstrom von Ib=0,6 mA erforderlich.
  • Für Uce=0,1 V bei Ic=100 mA wird ein Basisstrom von Ib=2,8 mA benötigt.

Es zeigt sich, dass ein BC337 bereits bei etwa Ib=3 mA eine geringe Sättigungsspannung aufweist. Wir arbeiten trotzdem mit Ib=Ic/10, also 100 mA/10=10 mA, um auf der sicheren Seite zu sein.

BC337-Ausgangskennlinie-50mA.png
Bild 3: Ausgangskennlinien eines BC337 für Kollektorströme bis 50 mA
BC337-Ausgangskennlinie-5mA.png
Bild 4: Ausgangskennlinien eines BC337 für Kollektorströme bis 5 mA

Die Bilder 3 und 4 zeigen, dass die Kennlinien für kleinere Ströme sehr ähnlich verlaufen.

Stromverstärkung

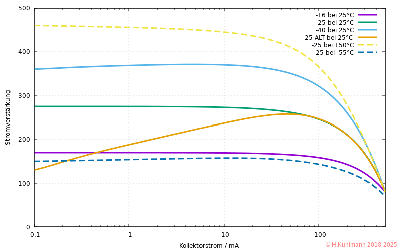
Die Stromverstärkung ist ein wesentlicher Parameter, der einen Transistor beschreibt. Die Stromverstärkung ist auch vom Kollektorstrom und der Temperatur des Transistors abhängig.

BC337-Stromverstaerkung.png
Bild 5: Stromverstärkung eines BC337

Die BC337 werden in Stromverstärkungsgruppen eingeteilt:

BC337-10 63-160
BC337-16 160-250
BC337-25 160-400
BC337-40 250-600

Die Kennlinien in Bild 5 entsprechen den angegebenen Stromverstärkungsgruppen. Die Stromverstärkung ist temperaturabhängig (dünne Linien gelb 150 °C, blau -55 °C). Einige Hersteller liefern den BC337 mit einer abweichenden Kennlinie der Stromverstärkung z. B. (orange).

Attention >

Mittelwerte

Die Kennlinien und Daten der Transistoren können erheblich von den dargestellten Werten abweichen.

Kennlinien von MOSFETs

MOSFETs sind spannungsgesteuert. Der Gatestrom ist immer 0.

Um die Wirkung der Eingangsspannung zu beschreiben, wird der Drainstrom in Abhängigkeit von der Gate-Source-Spannung dargestellt. Diese Kennlinie wird als Transferkennlinie bezeichnet.

Transferkennlinien von MOSFETs

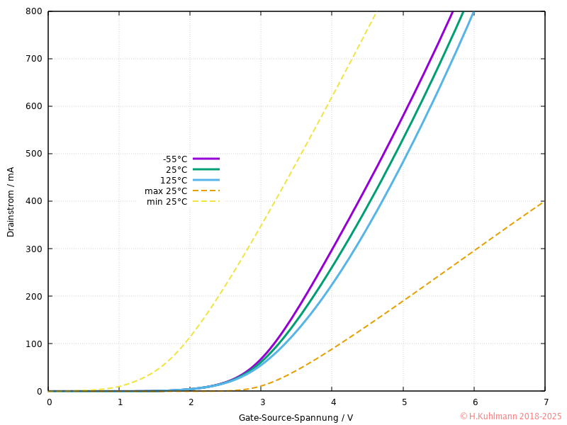
2N7000-Transferkennlinie.png
Bild 6: Transferkennlinie eines 2N7000

Wie Bild 6 zeigt, beginnt der 2N7000 erst ab Ugs=2 V zu leiten.

  • Ein 2N7000 beginnt bei Gate-Source-Spannungen zwischen Ugs(th) = 0,8 V und 3,0 V zu leiten.
  • Die Streuung der Daten wird durch die Kennlinien min und max dargestellt, die für 25 °C gelten.
  • Der Temperatureinfluss ist relativ gering.

Ausgangskennlinien von MOSFETs

Wie beim Transistor sind auch beim MOSFET die Ausgangskennlinien interessant. Da ein MOSFET spannungsgesteuert ist, sind die Kennlinien für verschiedene Gate-Source-Spannungen dargestellt.

2N7000-Ausgangskennlinie.png
Bild 7: Ausgangskennlinien eines 2N7000

Bild 7 zeigt die Kennlinien für eine Reihe von Gatespannungen.

  • Bei Gate-Source-Spannungen unter 2 V ist der 2N7000 nicht leitend.
  • Bei Gate-Source-Spannungen zwischen Ugs(th) = 0,8 V und 3,0 V beginnt der 2N7000 zu leiten.

Die Kennlinie für Ugs=10 V in Bild 7 ist wie bei einem Widerstand eine Gerade durch 0 V.

Die Kennlinie für Ugs=4 V in Bild 7 ist bei kleinen Drain-Source-Spannungen Uds < 0,5 V fast eine Gerade durch 0 V.

Diesen Geraden entspricht der Einschaltwiderstand RDSon.

  • Dabei ist jedoch die Body-Diode des MOSFET zu beachten.
  • Bei kleinen positiven und negativen Spannungen ist nur der Einschaltwiderstand RDSon wirksam.
2N7000-RDSon.png
Bild 8: Einschaltwiderstand eines 2N7000

Der Einschaltwiderstand eines 2N7000 ist erst ab Gate-Source-Spannungen über 3 V gering.

Attention >

Mittelwerte

Die Kennlinien und Daten von MOSFETs können erheblich von den dargestellten Werten abweichen.