../icons/Logo.pngPraktische Elektronik


Den Timer 555 über den Steuereingang (Control Voltage, CV) steuern


list.png

Timer 555 Steuereingang

Der Timer 555 verfügt über einen Anschluss, der mit CV bezeichnet ist. Er ist der Steuerspannungseingang oder Control Voltage.

  • Meist ist der Steuerspannungseingang CV nicht genutzt oder mit einem Kondensator von 10 nF bis 100 nF gegen Masse beschaltet. Dieser Kondensator soll Störspannungen auf der Versorgungsspannung vom Timer fernhalten.

Dieser Anschluss kann auch zur Steuerung des Zeitverhaltens des Timers verwendet werden.

Timer-555-astabil.png
Beispiel eines Timers 555 im astabilen Betrieb

Der Steuerspannungseingang CV

Der Timer 555 enthält sozusagen einen Schmitt-Trigger mit zwei Triggerpegeln. Siehe Bild 4 in Timer 555 astabil.

Im Folgenden betrachten wir die interne Schaltung des Timers näher.

Timer-555-Intern-U.png
Bild 1: Interne Schaltung des Timers 555

Die Triggerpegel des Schmitt-Triggers im Timer 555 werden durch drei gleich große, in Reihe geschaltete Widerstände eingestellt.

  • Diese drei Widerstände betragen beim NE555 5 kΩ. Daher kommt auch der Name 555.
  • Bei der CMOS-Version sind die drei gleich großen Widerstände etwa 100 kΩ.
  • Der absolute Wert der Widerstände ist dabei relativ ungenau, sie sind jedoch weitgehend gleich groß.
  • Bei der CMOS-Version des Timers wird der Transistor zum Anschluss DIS durch einen MOSFET ersetzt.

In Bild 1 bilden die beiden Komparatoren OP1 und OP2 zusammen mit dem R-S-Flip-Flop den Schmitt-Trigger.

Durch die drei gleichen Widerstände Ri1, Ri2 und Ri3 werden die Triggerpegel auf (2/3) * Uv und (1/3) * Uv eingestellt.

Die Spannung (2/3) * Uv wird durch den Anschluss CV herausgeführt.

Der Komparator OP1 gibt eine 1 aus, wenn die Spannung an TR kleiner ist als die an Ri3, also kleiner als (1/3) * Uv.

Der Komparator OP2 gibt eine 1 aus, wenn die Spannung an THR größer ist als die an CV, also größer als (2/3) * Uv.

Verwendung von CV

  • Wenn der Anschluss CV mit einem Kondensator gegen Masse beschaltet wird, können Störungen auf der Versorgungsspannung Uv unterdrückt werden. In der Regel reicht ein Kondensator von 10 nF.
  • Der Anschluss CV kann außerdem mit einer externen Spannung belegt werden. Dadurch lassen sich die Triggerpegel des internen Schmitt-Triggers verschieben.
  • Die Spannung UCV am Anschluss CV bestimmt den oberen Triggerpegel.
  • Der untere Triggerpegel beträgt stets UCV / 2.
  • Die Spannung an CV muss zwischen 0 V und Uv der Versorgungsspannung liegen.

Den Timer 555 über CV steuern

Betrachten wir nun, was passiert, wenn wir eine Spannung UCV auf den Steuerspannungseingang CV legen. Am besten betrachten wir die Wirkung, indem wir in Bild 3 die Pegel verschieben.

  • Wir gehen hier davon aus, dass die externen Widerstände R1 und R2 gleich sind.
  • Alle Spannungen werden auf die Versorgungsspannung Uv bezogen.
Timer555-CV-animiert.gif
Bild 2: Wirkung der Spannung am Anschluss CV des Timers 555

In Bild 2 werden verschiedene Spannungen UCV am Anschluss CV des Timers 555 betrachtet. Die Spannung UCV ist durch die violette Pegellinie dargestellt. Dies ist der obere Triggerpegel. Der untere Triggerpegel ist immer UCV / 2 und ist grün dargestellt.

Die Ladespannung Uc des Kondensators schwingt zwischen diesen beiden Pegeln. Während der orangefarbenen Kurve steigt die Spannung am Kondensator. Er wird geladen. Während der gelben Kurve fällt die Spannung am Kondensator. Er wird entladen.

Der Zustand des Ausgangs des Timers ist unten rot dargestellt. Während der Entladung ist der Ausgang 0.

Die Aufladung des Kondensators folgt einer Kurve, wie sie im Bild 2 von Kondensator und Widerstand beschrieben ist. Diese Kurve ist in Bild 2 blau dargestellt.

Bild 2 zeigt, wie sich die Spannung am Kondensator bei verschiedenen Pegeln UCV am Anschluss CV verhält.

Interessant ist, dass beim Laden die Spannung am Kondensator (orange) der blauen Ladekurve immer folgt. Sie ist lediglich nach oben oder unten verschoben. Bei einer niedrigen Spannung an CV, z. B. bei UCV=0,3 * Uv, wird der obere Pegel relativ schnell erreicht und der Ausgang befindet sich relativ kurz im EIN-Zustand.

Bei höheren Spannungen UCV an CV ist der Ausgang länger im EIN-Zustand.

Je höher die Spannung UCV an CV ist, desto länger ist auch die Periode.

Interessanterweise bleibt die Entladezeit dabei immer gleich.

  • Der Kondensator wird immer über die Versorgungsspannung Uv und die Widerstände R1 und R2 bis zum oberen Pegel aufgeladen. Ein geringerer Pegel wird schneller erreicht.
  • Anschließend wird der Kondensator vom oberen Pegel UCV über R2 bis auf 1/2 *UCV entladen. Die Zeit, die dafür benötigt wird, ist immer gleich. Unabhängig vom oberen Pegel UCV ist der Ausgang immer für die gleiche Dauer auf 0.
  • Das Verhältnis der Zeit mit Ausgang=EIN zur Periode beschreibt das zeitliche Verhalten. Es wird Tastgrad oder Tastverhältnis genannt.
  • Bei UCV = 0,3 * Uv beträgt der Tastgrad etwa 0,359.
  • Bei UCV = 0,9 * Uv sind es etwa 0,831.
  • Wenn der Anschluss CV offen ist, beträgt UCV = (2/3) * Uv und der Tastgrad ist ebenfalls 2/3.
  • Vergleicht man den Tastgrad mit dem Pegel UCV / Uv, zeigt sich, dass beide Werte ähnlich sind.
  • Der Tastgrad des Timers 555 kann über die Spannung UCV am Anschluss CV eingestellt werden.

Tastgrad über CV steuern

Wir betrachten hier, wie der Tastgrad des Ausgangs eines Timers 555 über den Anschluss CV gesteuert werden kann.

Wir betrachten also, wie lange der Ausgang=EIN relativ zur Periode ist.

Tein ist die Zeit, während der Ausgang=EIN ist.

Taus ist die Zeit, während der Ausgang=0 ist.

P = Tein + Taus ist die Periode.

D = Tein / P = Tein / (Tein + Taus) ist damit der Tastgrad.

Timer555-CV-Tein.png
Bild 3: Steuerung des Tastgrads für die EIN-Zeit über den Anschluss CV eines Timers 555
Attention attention

Spannungen an CV

Der Anschluss CV des Timers 555 kann meist nur

  • oberhalb 0,2 V und
  • bis maximal 0,8 V unter der Betriebsspannung

betrieben werden.

Näheres unter NE555, LMC555

Grundsätzlich könnte der Tastgrad zwischen 0 und 1 gesteuert werden.

  • Es gibt allerdings eine Einschränkung: Meist muss die Spannung an CV mindestens 0,2 V betragen. Sie darf nur bis maximal 0,8 V unterhalb der Betriebsspannung Uv liegen.

Die Kurven in Bild 3 zeigen Folgendes:

  • Zunächst zeigt die rote Kurve für R2=R1, dass der Tastgrad ziemlich genau dem Pegel von UCV / Uv entspricht. Damit wird unsere Feststellung von weiter oben bestätigt. Die Kurve verläuft ziemlich gerade (linear).
  • Bei einem relativ kleinen Widerstand R2, also R2 = 0,001 * R1, steigt bei kleinen Spannungen UCV an CV der Tastgrad stark an. Wird die Spannung UCV größer, verändert sich der Tastgrad nur wenig.
  • Bei etwas größerem Widerstand R2 steigt der Tastgrad zu Beginn weniger stark an.
  • Wenn die Spannung UCV an CV fast die Betriebsspannung erreicht (UCV / Uv ~ 1), steigt der Tastgrad stärker an.
  • Je größer R2 ist, desto stärker ist dabei der Anstieg.
  • Ist R2 sehr viel größer als R1, also R2 = 10 * R1 oder R2 = 100 * R1, hat das nur einen geringen Einfluss auf den Verlauf der Kurve.
  • Die Kurven sind mehr oder weniger gekrümmt.
  • Bei R2 = 2 * R1 und noch größeren R2 ist die Kurve bis zu 0,8 * Uv gerade.
  • Die untere Kurve für R2 = 100 * R1 ist gerader (linearer) als die rote Kurve für R2=R1.
  • Elektroniker mögen gerade (lineare) Kurven.

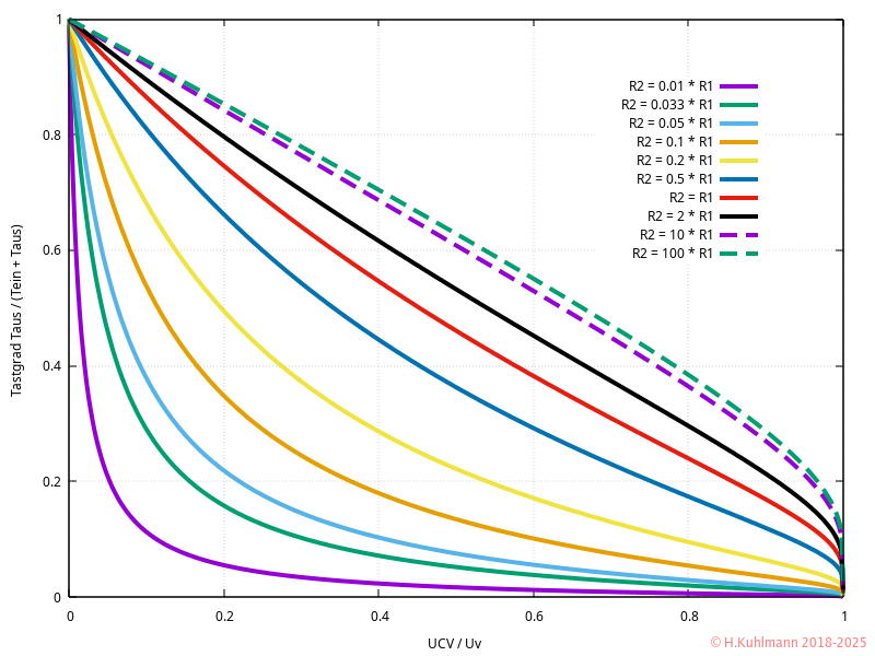
Tastgrad für die AUS-Zeit steuern

Bei manchen Anwendungen interessiert der Tastgrad für die AUS-Zeit.

Timer555-CV-Taus.png
Bild 4: Steuerung des Tastgrads für die AUS-Zeit über den Anschluss CV eines Timers 555

Wir haben ähnliche Verhältnisse, allerdings fallen die Kurven mit größerer UCV ab.

  • Der Tastgrad für die AUS-Zeit fällt bei relativ kleinem Widerstand R2 und kleinen Spannungen an CV stark ab.
  • Bei etwas größeren Widerständen R2 fällt der Tastgrad für die AUS-Zeit zu Beginn weniger stark ab.
  • Wenn die Spannung an CV fast die Betriebsspannung erreicht, also UCV / Uv = 1, fällt der Tastgrad für die AUS-Zeit stärker ab.
  • Je größer R2 ist, desto stärker ist dabei der Abfall.
  • Die Kurven sind mehr oder weniger gekrümmt.
  • Bei R2 = 2 * R1 und noch größeren R2 ist die Kurve bis zu 0,8 * Uv sehr gerade (linear).
  • Das ist interessant, da auf diese Weise eine lineare Pulsbreitenmodulation möglich ist.

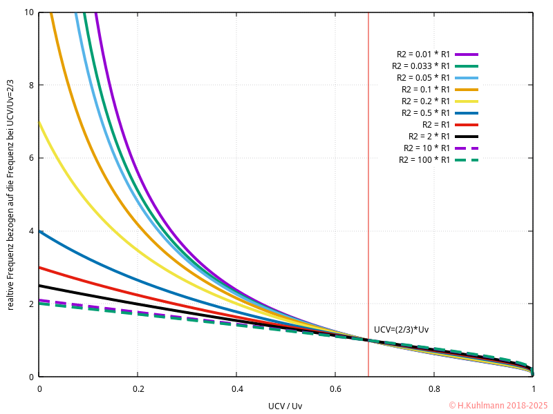
Frequenz steuern

Es ist interessant, wie sich die Ausgangsfrequenz des Timers 555 über den Steuereingang CV steuern lässt.

Timer555-CV-Freq.png
Bild 5: Steuerung der Frequenz über den Anschluss CV eines Timers 555

Bild 5 zeigt, wie sich die Frequenz, bezogen auf die Frequenz bei offenem CV (UCV/Uv=2/3), über die Spannung an CV verändert.

Bei einer kleinen Spannung an CV steigt die Frequenz an.

Sind R1 und R2 gleich groß, lässt sich die Frequenz zwischen 0,2 und 3 steuern.

Bei einem relativ großen R2 lässt sich die Frequenz zwischen 0,2 und 2 steuern.

Bei einem vergleichsweise kleinen R2 kann es bei einer kleinen UCV zu erheblich höheren Frequenzen kommen.

Steuerung des Timers 555 im monostabilen Betrieb

Wenn der Timer 555 monostabil betrieben wird, wird der Kondensator immer von 0 V bis zur Spannung an CV aufgeladen.

Damit kann die aktive Zeit im monostabilen Betrieb einfach über CV gesteuert werden.

Timer555-CV-Mono.png
Bild 6: Steuerung der Impulsdauer beim Timer 555 über CV

Bild 6 zeigt, wie sich die Spannung UCV am Eingang CV auf die Impulsdauer auswirkt. Dabei wird die Spannung UCV an CV relativ zur Betriebsspannung Uv dargestellt und die Impulsdauer relativ zur Impulsdauer bei offenem CV, also UCV = (2/3) * Uv.

Die Kurve verläuft bis zu der Spannung UCV = (2/3) * Uv einigermaßen gerade (linear). Oberhalb von UCV = (2/3) * Uv steigt sie dann immer steiler an. Wenn UCV = Uv ist, endet der Impuls nie.

Auch beim monostabilen Betrieb muss beachtet werden, dass manche Timer 555 bei Spannungen unter 0,2 V an CV und in der Nähe der Betriebsspannung (Uv - 0,8 V) nicht mehr korrekt arbeiten.

Im astabilen Betrieb gilt:

  • Der Tastgrad des Timer-Ausgangs lässt sich über die Spannung UCV steuern.
  • Ist R1 mindestens doppelt so groß wie R2, ist der Tastgrad ziemlich linear zur Steuerspannung UCV.
  • Ist R1 kleiner als R2, kann der Tastgrad bereits mit geringer Spannung UCV stark verändert werden.
  • Ist R1 dagegen größer als R2, lässt sich der Tastgrad mit UCV in der Nähe der Betriebsspannung Uv stark verändern.
  • Die Ausgangsfrequenz lässt sich über die Spannung UCV steuern.
  • Bei einem relativ kleinen R2 steigt die Frequenz bei kleiner Steuerspannung stark an.
  • Das bedeutet, dass bei relativ kleinem R2 der Tastgrad mit geringer Spannung UCV stark verändert werden kann, was jedoch auch eine starke Erhöhung der Frequenz bedeutet.

Im monostabilen Betrieb gilt:

  • Die Impulsdauer des Timer-Ausgangs lässt sich über die Spannung UCV steuern.
  • Die Impulsdauer steigt bei relativ geringen Spannungen UCV ziemlich linear an.
  • Bei höheren Spannungen steigt sie steil an.
  • Dabei sollte die Spannung UCV immer kleiner als die Betriebsspannung Uv sein.

Für beide Betriebsarten gilt:

  • Leider arbeiten manche Timer 555 bei UCV unter 0,2 V nicht mehr.
  • Ebenso versagen die meisten Timer 555, wenn UCV nahe an der Betriebsspannung (Uv - 0,8 V) liegt.