../icons/Logo.pngPraktische Elektronik


Die BC327, BC328, BC807 und BC808 sind universell einsetzbare PNP-Kleinsignal-Transistoren.


list.png

BC327/BC328 und BC807/BC808

Die BC327, BC328, BC807 und BC808 sind PNP-Kleinsignal-Transistoren.

Attention pin

PNP-Transistor

Bei PNP-Transistoren werden Ströme und Spannungen negativ angegeben.

Typ Ucemax Icmax Ibmax Pmax Ube Stromverstärkung
BC327 -45 V -500 mA -100 mA 625 mW -0,6 V 60 - 600
BC328 -25 V -500 mA -100 mA 625 mW -0,6 V 60 - 600
BC807 -45 V -500 mA -100 mA 250 mW -0,6 V 60 - 600
BC808 -25 V -500 mA -100 mA 250 mW -0,6 V 60 - 600
Ucemax maximal zulässige Kollektor-Emitter-Spannung
Icmax maximal zulässiger Kollektorstrom
Ibmax maximal zulässiger Basisstrom
Pmax maximal zulässige Leistung
Ube typische Basis-Emitter-Spannung
Diese Grenzwerte dürfen nicht überschritten werden. Siehe: Betriebsdaten und Grenzdaten
  • Die BC327/BC328 und BC807/BC808 können als Verstärker oder Schalter eingesetzt werden.
  • Die BC327/BC328 und BC807/BC808 können von allen Logik-Systemen angesteuert werden. Allerdings sind nur Kollektorströme bis maximal -100 mA sinnvoll.
  • Die BC327 und BC328 bzw. BC807 und BC808 sind äquivalent. Sie unterscheiden sich nur in der maximal zulässigen Kollektor-Emitter-Spannung.
  • Die BC327 und BC807 bzw. BC328 und BC808 sind äquivalent. Sie unterscheiden sich nur in der maximal zulässigen Leistung und im Gehäuse.
  • Die maximale Leistung von Pmax=625 mW für die BC327/BC328 bzw. Pmax=250 mW für die BC807/BC808 gilt nur bei einer Gehäusetemperatur von 25 °C. Im normalen Betrieb sollten die BC327/BC328 nur mit 400 mW und die BC807/BC808 nur mit 150 mW belastet werden.

Symbol

PNP-Transistor_Symbol.png
Bild 1: Symbol eines PNP-Transistors

Wirkung

Durch einen Strom von der Basis zum Emitter wird der Transistor zwischen Kollektor und Emitter leitend. Der Transistor ist stromgesteuert.

Wenn der Strom durch den Kollektor nur zehnmal so groß ist wie der Strom durch die Basis, so ist der Transistor praktisch durchgeschaltet. Zwischen Basis und Emitter fällt eine Spannung von -0,6 V ab. Unter -0,6 V zwischen Basis und Emitter sperrt der Transistor.

Gehäuse

Attention >

THT und SMD

Montage von Bauelementen auf Leiterplatten

THT (Through Hole Technology) Durchsteckmontage

  • Die Anschlüsse von THT-Bauelementen werden durch Löcher in der Platine gesteckt und von unten verlötet.
  • THT-Bauelemente werden auf der Oberseite der Platine montiert.
  • Bedrahtete Bauelemente wie Widerstände und Kondensatoren werden in THT montiert. Dazu müssen die Anschlussdrähte entsprechend gebogen werden.

SMD (Surface Mounted Device) Oberflächenmontage

  • SMD-Bauelemente benötigen keine Bohrungen, sondern werden direkt auf Kupferpads gelötet.
  • SMD-Bauelemente können auf beiden Seiten einer Platine montiert werden.

Der BC327 und BC328 haben ein TO-92-Gehäuse.

TO92.png
Bild 2: BC327 und BC328 im TO-92-Gehäuse

a - Kollektor
b - Basis
c - Emitter

Der BC807 und BC808 haben ein SMD-Gehäuse Typ SOT-23-3.

SOT23-3.png
Bild 3: BC807 und BC808 im SMD-Gehäuse Typ SOT-23-3

1 - Basis
2 - Emitter
3 - Kollektor

Thermische Eigenschaften

Attention pin

60 °C

Eine maximale Umgebungstemperatur von 60 °C ist für die meisten unserer Anwendungen eine gute Wahl.

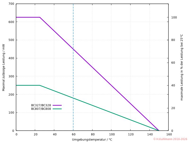
  • Die maximal zulässige Sperrschicht-Temperatur der BC327/BC328 und BC807/BC808 beträgt 150 °C.
  • Die maximal zulässige Leistung bei einer Umgebungstemperatur von 25°C ist für die BC327/BC328 Pmax=625 mW.
  • Über 25°C Umgebungstemperatur verringert sich die maximal zulässige Leistung um 5 mW/K.
  • Die maximal zulässige Leistung bei einer Umgebungstemperatur von 25°C ist für die BC807/BC808 Pmax=250 mW.
  • Über 25°C Umgebungstemperatur verringert sich die maximal zulässige Leistung um 2 mW/K.
BC327-Pmax.png
Bild 4: Maximal zulässige Verlustleistung der BC327/BC328 und BC807/BC808 bei Umgebungstemperatur

Das obige Diagramm setzt voraus, dass die BC327/BC328 und BC807/BC808 auf einer Leiterplatte eingelötet sind.

Die maximal zulässige Verlustleistung kann einfach aus dem Diagramm entnommen werden.

Stromverstärkung

Das Verhältnis des Kollektorstroms zum Basisstrom Ic / Ib wird als Stromverstärkung bezeichnet. Die Stromverstärkung von Transistoren wird nur sehr ungenau angegeben. Beim BC327 bzw. BC807 liegt sie zwischen 63 und 600.

Transistoren werden in Stromverstärkungsgruppen eingeteilt:

BC327-10 63-160
BC327-16 160-250
BC327-25 160-400
BC327-40 250-600

BC327-25 bzw. BC807-25 werden in der Regel mit einer Stromverstärkung zwischen 160 und 400 geliefert.

Attention >

Komplementärtyp

Die PNP-Transistoren BC327/BC328 und BC807/BC808 sind komplementär zu den NPN-Typen BC337/BC338 und BC817/BC818.

Regeln

  • Der Emitter des PNP-Transistors wird an Plus angeschlossen.
  • Die PNP-Transistoren BC327/BC328 und BC807/BC808 können als High-Side-Schalter verwendet werden.
  • Die Last, also der Lastwiderstand, liegt an Minus. Der PNP-Transistor schaltet die Last an Plus.
  • Die Last liegt zwischen Kollektor und Minus.
  • Der Strom durch die Basis muss durch einen Widerstand begrenzt werden.
  • Bei Betrieb als Schalter sollte der Basisstrom etwa 1/10 des Kollektorstroms betragen.
  • Die BC327/BC328 und BC807/BC808 sollten für Kollektorströme bis maximal -100 mA verwendet werden.
  • Sie können bei Spannungen bis -12 V sicher mit einem Lastwiderstand von mindestens 120 Ω betrieben werden.
  • Der Basiswiderstand beträgt dann 1,2 kΩ bei -12 V oder 470 Ω bei -5 V.
  • Die BC327/BC328 und BC807/BC808 können über einen Vorwiderstand mit der Basis an den Ausgang eines CMOS-ICs angeschlossen werden.
  • Sie sollten jedoch nicht an einem normalen TTL-Ausgang betrieben werden,
  • sondern an einem TTL-Ausgang mit offenem Kollektor.
  • In diesem Fall ist ein zusätzlicher Widerstand von 10 kΩ zwischen Basis und Emitter erforderlich.
  • Bei einem Kollektorstrom von -20 mA beträgt der Basiswiderstand 2,2 kΩ.
  • Bei einem Kollektorstrom von -100 mA beträgt der Basiswiderstand 470 Ω (nur bei 4049, 4050 oder TTL mit offenem Kollektor).
  • Die BC327/BC328 und die BC807/BC808 werden durch eine logische 0 (0 V) von einem Logik-IC eingeschaltet.
  • Sie erzeugen dann eine logische 1,
  • d. h., das logische Signal wird invertiert.
  • Die Basis-Emitter-Spannung beträgt etwa -0,6 V.
  • Die Basis-Emitter-Spannung von etwa -0,6 V kann gut für (ungenaue) Messungen verwendet werden.
  • Das Verhältnis des Kollektorstroms zum Basisstrom Ic / Ib wird als Stromverstärkung bezeichnet.
  • Bei den BC327/BC807 beträgt die Stromverstärkung etwa 100,
  • sie kann jedoch zwischen 63 und 600 liegen und ist in Stromverstärkungsgruppen eingeteilt.
  • Werden die BC327/BC328 und BC807/BC808 mit einer hohen Stromverstärkung (z. B. 100) betrieben, sind sie nur teilweise leitend.
  • Die Kollektor-Emitter-Spannung liegt dann zwischen 0 V und der Betriebsspannung.
  • Damit ein Transistor vollständig durchschaltet, wird eine Stromverstärkung von 10 verwendet.
  • Die BC327/BC328 und BC807/BC808 vertragen keine hohen Leistungen. Im normalen Betrieb sind das:
  • für die BC327/BC328 maximal 450 mW bei 60 °C und
  • für die BC807/BC808 maximal 180 mW bei 60 °C.

Weitere Daten und Kennlinien

  • Kennlinien werden im Praktikum Kennlinien beschrieben.
BC327-UbeIc.png
Bild 5: Kollektorstrom bei Basis-Emitter-Spannung

Die Kennlinie des Kollektorstroms bei Basis-Emitter-Spannung variiert von Exemplar zu Exemplar. Die Abweichungen liegen bei 25 °C im Bereich zwischen den gestrichelten orangen und gelben Kennlinien. Diese Kennlinie ist temperaturabhängig (blau und grün).

BC327-Ausgangskennlinen-20mA.png
Bild 6: Ausgangskennlinien der BC327/BC328 und BC807/BC808 bei Kollektorströmen bis -20 mA

Diese Ausgangskennlinien zeigen den typischen Verlauf. Er kann von Exemplar zu Exemplar und in Abhängigkeit von der Temperatur stark variieren.

BC327-Ausgangskennlinen-800mA.png
Bild 7: Ausgangskennlinien der BC327/BC328 und BC807/BC808 bei Kollektorströmen bis -800 mA

Die Leistungskurven für 400 mW geben an, mit welchem Kollektorstrom die BC327/BC328 bei welcher Kollektorspannung maximal betrieben werden dürfen. Die Leistungskurven für 150 mW gelten für die BC807/BC808. Der Strom muss dabei immer unterhalb der Leistungskurve liegen.

Die BC327/BC328 und BC807/BC808 dürfen nur für sehr kurze Zeit (unter 100µs) oberhalb der Leistungskurve betrieben werden. Werden die BC327/BC328 und BC807/BC808 als Schalter verwendet, werden sie während des Ein- und Abschaltvorgangs häufig kurzzeitig oberhalb der Leistungskurve betrieben. Im eingeschalteten Zustand werden sie meist unterhalb der Leistungskurve betrieben.

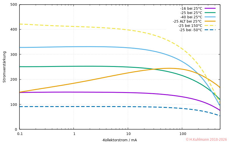
BC327-Stromverstaerkung.png
Bild 8: Stromverstärkung der BC327/BC328 und BC807/BC808

Die BC327/BC328 und BC807/BC808 werden in Stromverstärkungsgruppen eingeteilt:

-16 160-250
-25 160-400
-40 250-600

Die obigen Kennlinien entsprechen den angegebenen Stromverstärkungsgruppen. Die Stromverstärkung ist temperaturabhängig (gestrichelte Linien gelb 150 °C, blau -50 °C). Einige Hersteller liefern den BC327 mit einer abweichenden Kennlinie der Stromverstärkung z. B. (orange).

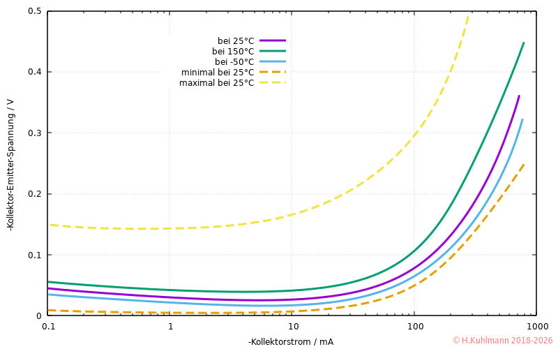
BC327-Saettigungsspannung.png
Bild 9: Sättigungsspannung der BC327/BC328 und BC807/BC808

Die Sättigungsspannung ist die Kollektor-Emitter-Spannung, die sich einstellt, wenn die BC327/BC328 und BC807/BC808 mit einem Basisstrom angesteuert werden, der ein Zehntel des Kollektorstroms beträgt Ib=Ic/10.

Diese Kennlinie variiert von Exemplar zu Exemplar. Die Abweichungen liegen bei 25 °C im Bereich zwischen den gestrichelten orangen und gelben Kennlinien. Die Sättigungsspannung ist temperaturabhängig (grün 150 °C, blau -50 °C).

Sicherer Arbeitsbereich (SOA)

BC327-SOA.png
Bild 10: Sicherer Arbeitsbereich der BC327/BC328 und BC807/BC808
  • Die maximale Spannung beträgt für die BC327 und BC807 Umax=45 V und für die BC328 und BC808 Umax=25 V.

Die Arbeitsbereiche sind angegeben für:

  • die BC327/BC328 und BC807/BC808 für Gleichstrom (DC) bei einer Umgebungstemperatur ta=25 °C,
  • die BC327/BC328 und BC807/BC808 für Gleichstrom (DC) bei einer Umgebungstemperatur ta=60 °C,
  • die BC327/BC328 für Gleichstrom (DC) bei einer Gehäusetemperatur tc=25 °C,
  • d. h., die BC327/BC328 werden über einen Kühlclip gekühlt.
  • Die Impulsbelastung ist für die Chiptemperatur tj=135 °C dargestellt.
  • Für die BC327/BC328 Gleichstrom (DC) bei einer Umgebungstemperatur ta=60 °C:
  • Dargestellt ist die Impulsbelastung bei einer Chiptemperatur von tj=135 °C.

Die BC327/BC328 und BC807/BC808 können analog mit Gleichstrom betrieben werden: DC SOA.

Typ Ic bei Uce unter bei Temperatur
BC327/BC328 -500 mA -3 V Gehäusetemperatur tc=25 °C
BC327 -32 mA -45 V Gehäusetemperatur tc=25 °C
BC328 -58 mA -25 V Gehäusetemperatur tc=25 °C
BC327/BC328 -500 mA -1,3 V Umgebungstemperatur ta=25 °C
BC327 -14,4 mA -45 V Umgebungstemperatur ta=25 °C
BC328 -25 mA -25 V Umgebungstemperatur ta=25 °C
BC327/BC328 -500 mA -0,75 V Umgebungstemperatur ta=60 °C
BC327 -8,3 mA -45 V Umgebungstemperatur ta=60 °C
BC328 -15 mA -25 V Umgebungstemperatur ta=60 °C
BC807/BC808 -500 mA -0,5 V Umgebungstemperatur ta=25 °C
BC807 -5,5 mA -45 V Umgebungstemperatur ta=25 °C
BC808 -10 mA -25 V Umgebungstemperatur ta=25 °C
BC807/BC808 -500 mA -0,36 V Umgebungstemperatur ta=60 °C
BC807 -4 mA -45 V Umgebungstemperatur ta=60 °C
BC808 -7,3 mA -25 V Umgebungstemperatur ta=60 °C
  • Die Grenzlinien für die Impulsbelastung dürfen nur einmal oder sehr selten überschritten werden. Die BC327/BC328 und BC807/BC808 dürfen nur unterhalb des DC-Bereichs dauerhaft betrieben werden.
  • Meist werden die BC327/BC328 ohne zusätzliche Kühlung betrieben.
  • Wenn die Temperatur höher ist, muss die Leistung reduziert werden.