../icons/Logo.pngPraktische Elektronik


Die BC337, BC338, BC817 und BC818 sind universell einsetzbare NPN-Kleinsignal-Transistoren.


list.png

BC337/BC338 und BC817/BC818

Die BC337, BC338, BC817 und BC818 sind NPN-Kleinsignal-Transistoren.

Typ Ucemax Icmax Ibmax Pmax Ube Stromverstärkung
BC337 45 V 500 mA 100 mA 625 mW 0,6 V 60 - 600
BC338 25 V 500 mA 100 mA 625 mW 0,6 V 60 - 600
BC817 45 V 500 mA 100 mA 250 mW 0,6 V 60 - 600
BC818 25 V 500 mA 100 mA 250 mW 0,6 V 60 - 600
Ucemax maximal zulässige Kollektor-Emitter-Spannung
Icmax maximal zulässiger Kollektorstrom
Ibmax maximal zulässiger Basisstrom
Pmax maximal zulässige Leistung
Ube typische Basis-Emitter-Spannung
Diese Grenzwerte dürfen nicht überschritten werden. Siehe: Betriebsdaten und Grenzdaten
  • Die BC337, BC338, BC817 und BC818 können als Verstärker oder Schalter eingesetzt werden.
  • Die BC337, BC338, BC817 und BC818 können von allen Logiksystemen angesteuert werden. Allerdings sind nur Kollektorströme bis maximal 100 mA sinnvoll.
  • Die BC337 und BC338 bzw. BC817 und BC818 sind äquivalent. Sie unterscheiden sich nur in der maximal zulässigen Kollektor-Emitter-Spannung.
  • Die BC337 und BC817 bzw. BC338 und BC818 sind äquivalent. Sie unterscheiden sich nur in der maximal zulässigen Leistung und dem Gehäuse.
  • Die maximale Leistung von Pmax=625 mW für die BC337/BC338 bzw. Pmax=250 mW für die BC817/BC818 gilt nur bei einer Gehäusetemperatur von 25 °C. Im normalen Betrieb sollten die BC337/BC338 nur mit 400 mW und die BC817/BC818 nur mit 150 mW belastet werden.

Symbol

NPN-Transistor_Symbol.png
Bild 1: Symbol eines NPN-Transistors

Wirkung

Durch einen Strom von der Basis zum Emitter wird der Transistor zwischen Kollektor und Emitter leitend. Der Transistor ist stromgesteuert.

Wenn der Strom durch den Kollektor nur 10-mal so groß ist wie der Strom durch die Basis, so ist der Transistor praktisch durchgeschaltet. Zwischen Basis und Emitter fällt eine Spannung von 0,6 V ab. Unter 0,6 V zwischen Basis und Emitter sperrt der Transistor.

Gehäuse

Attention >

THT und SMD

Montage von Bauelementen auf Leiterplatten

THT (Through Hole Technology) Durchsteckmontage

  • Die Anschlüsse von THT-Bauelementen werden durch Löcher in der Platine gesteckt und von unten verlötet.
  • THT-Bauelemente werden auf der Oberseite der Platine montiert.
  • Bedrahtete Bauelemente wie Widerstände und Kondensatoren werden in THT montiert. Dazu müssen die Anschlussdrähte entsprechend gebogen werden.

SMD (Surface Mounted Device) Oberflächenmontage

  • SMD-Bauelemente benötigen keine Bohrungen, sondern werden direkt auf Kupferpads gelötet.
  • SMD-Bauelemente können auf beiden Seiten einer Platine montiert werden.

Der BC337 und BC338 haben ein TO-92-Gehäuse.

TO92.png
Bild 2: BC337 im TO-92-Gehäuse

a - Kollektor
b - Basis
c - Emitter

Der BC817 und BC818 haben ein SMD-Gehäuse vom Typ SOT-23-3.

SOT23-3.png
Bild 3: BC817 und BC818 im SMD-Gehäuse vom Typ SOT-23-3

1 - Basis
2 - Emitter
3 - Kollektor

Thermische Eigenschaften

Attention pin

60 °C

Eine maximale Umgebungstemperatur von 60 °C ist für die meisten unserer Anwendungen eine gute Wahl.

  • Die maximal zulässige Sperrschichttemperatur der BC337/BC338 und BC817/BC818 beträgt 150 °C.
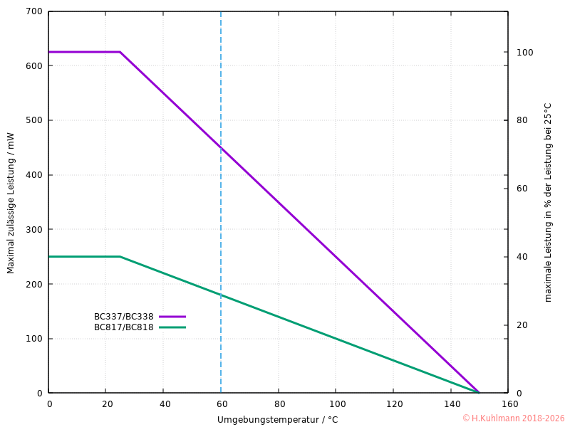
  • Die maximal zulässige Leistung bei einer Umgebungstemperatur von 25°C ist für die BC337/BC338 Pmax=625 mW.
  • Über 25°C Umgebungstemperatur verringert sich die maximal zulässige Leistung um 5 mW/K.
  • Die maximal zulässige Leistung bei einer Umgebungstemperatur von 25°C ist für die BC817/BC818 Pmax=250 mW.
  • Über 25°C Umgebungstemperatur verringert sich die maximal zulässige Leistung um 2 mW/K.
BC337-Pmax.png
Bild 4: Maximal zulässige Verlustleistung der BC337/BC338 und BC817/BC818 bei Umgebungstemperatur

Das obige Diagramm setzt voraus, dass die BC337/BC338 und BC817/BC818 auf einer Leiterplatte eingelötet sind.

Die maximal zulässige Verlustleistung kann einfach aus dem Diagramm entnommen werden.

Stromverstärkung

Das Verhältnis des Kollektorstroms zum Basisstrom Ic / Ib wird als Stromverstärkung bezeichnet. Die Stromverstärkung von Transistoren wird nur sehr ungenau angegeben. Beim BC337 bzw. BC817 liegt sie zwischen 63 und 600.

Transistoren werden in Stromverstärkungsgruppen eingeteilt:

-10 63-160
-16 160-250
-25 160-400
-40 250-600

BC337-25 bzw. BC817-25 werden in der Regel mit einer Stromverstärkung zwischen 160 und 400 geliefert.

Attention >

Komplementärtyp

Die NPN-Transistoren BC337/BC338 und BC817/BC818 sind komplementär zu den PNP-Typen BC327/BC328 bzw. BC807/BC808

Regeln

  • Der Emitter des NPN-Transistors wird an Minus angeschlossen.
  • Die NPN-Transistoren BC337/BC338 und BC817/BC818 können als Low-Side-Schalter verwendet werden.
  • Die Last – der Lastwiderstand – liegt an Plus. Der NPN-Transistor schaltet die Last an Minus.
  • Die Last liegt zwischen Kollektor und Plus.
  • Der Strom durch die Basis muss durch einen Widerstand begrenzt werden.
  • Werden die BC337/BC338 und BC817/BC818 als Schalter betrieben, sollte der Basisstrom etwa 1/10 des Kollektorstroms betragen.
  • Die BC337/BC338 und BC817/BC818 sollten für Kollektorströme bis zu 100 mA verwendet werden.
  • Die BC337/BC338 und BC817/BC818 können bei Spannungen bis 12 V mit einem Lastwiderstand nicht unter 120 Ω sicher betrieben werden.
  • Der Basiswiderstand beträgt dann 1,2 kΩ bei 12 V oder 470 Ω bei 5 V.
  • Die BC337/BC338 und BC817/BC818 können über einen Vorwiderstand mit der Basis an einen TTL-Ausgang angeschlossen werden. Es muss jedoch eine Diode vor die Basis geschaltet werden. Siehe Rezept Transistor an Logik.
  • Die BC337/BC338 und BC817/BC818 können über einen Vorwiderstand mit der Basis an den Ausgang eines CMOS-ICs angeschlossen werden.
  • Bei einem Kollektorstrom von 20 mA beträgt der Basiswiderstand 2,2 kΩ.
  • Bei einem Kollektorstrom von 100 mA beträgt der Basiswiderstand 470 Ω (nur bei 4049 oder 4050).
  • Die BC337/BC338 und BC817/BC818 werden durch eine logische 1 (5 V) von einem CMOS-IC eingeschaltet.
  • Sie erzeugen dann eine logische 0,
  • d. h., das logische Signal wird invertiert.
  • Die Basis-Emitter-Spannung beträgt etwa 0,6 V.
  • Die Basis-Emitter-Spannung von etwa 0,6 V kann gut für (ungenaue) Messungen verwendet werden.
  • Das Verhältnis des Kollektorstroms zum Basisstrom Ic / Ib wird als Stromverstärkung bezeichnet.
  • Bei den BC337 und BC817 beträgt die Stromverstärkung etwa 100,
  • kann aber zwischen 63 und 600 liegen und ist in Stromverstärkungsgruppen eingeteilt.
  • Wenn die BC337/BC338 und BC817/BC818 mit einer hohen Stromverstärkung (z. B. 100) betrieben werden, sind sie nur teilweise leitend.
  • Die Kollektor-Emitter-Spannung liegt dann zwischen 0 V und der Betriebsspannung.
  • Damit ein Transistor vollständig durchschaltet, wird eine Stromverstärkung von 10 verwendet.
  • Die BC337/BC338 und BC817/BC818 vertragen keine hohen Leistungen. Im normalen Betrieb sind das für
  • die BC337/BC338 maximal 400 mW,
  • die BC817/BC818 maximal 150 mW.

Weitere Daten und Kennlinien

  • Kennlinien werden im Praktikum Kennlinien beschrieben.
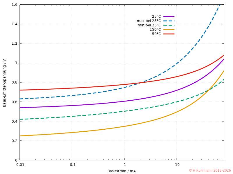
BC337-Eingangskennlinie.png
Bild 5: Eingangskennlinie der BC337/BC338 und BC817/BC818

Die Eingangskennlinie stellt den Basisstrom in Abhängigkeit von der Basis-Emitter-Spannung dar. Diese Kennlinie variiert von Exemplar zu Exemplar. Die Abweichungen liegen bei 25 °C im Bereich zwischen den gestrichelten blauen und grünen Kennlinien. Die Eingangskennlinie ist temperaturabhängig (rot und orange).

BC337-UbeIc.png
Bild 6: Kollektorstrom bei Basis-Emitter-Spannung

Die Kennlinie des Kollektorstroms bei Basis-Emitter-Spannung variiert von Exemplar zu Exemplar. Die Abweichungen liegen bei 25 °C im Bereich zwischen den gestrichelten blauen und grünen Kennlinien. Diese Kennlinie ist temperaturabhängig (rot und orange).

BC337-Ausgangskennlinie-5mA.png
Bild 7: Ausgangskennlinien der BC337/BC338 und BC817/BC818 bei Kollektorströmen bis 5 mA

Diese Ausgangskennlinien zeigen den typischen Verlauf. Er kann von Exemplar zu Exemplar und in Abhängigkeit von der Temperatur stark variieren.

BC337-Ausgangskennlinie-50mA.png
Bild 8: Ausgangskennlinien der BC337/BC338 und BC817/BC818 bei Kollektorströmen bis 50 mA
BC337-AusgangskennlinieLeistung.png
Bild 9: Ausgangskennlinien der BC337/BC338 und BC817/BC818 für Kollektorströme bis 500 mA

Die Leistungskurve für 400 mW gibt an, mit welchem Kollektorstrom die BC337/BC338 bei welcher Kollektorspannung maximal betrieben werden darf. Die Leistungskurve für 150 mW gilt für die BC817/BC818. Der Strom muss immer unterhalb der Leistungskurve liegen.

Die BC337/BC338 und BC817/BC818 dürfen nur für sehr kurze Zeit, unter 100µs oberhalb der Leistungskurve betrieben werden. Wenn die BC337/BC338 und BC817/BC818 als Schalter verwendet werden, werden sie während des Ein- und Abschaltvorgangs häufig kurzzeitig oberhalb der Leistungskurve betrieben. Im eingeschalteten Zustand werden sie meist unterhalb der Leistungskurve betrieben.

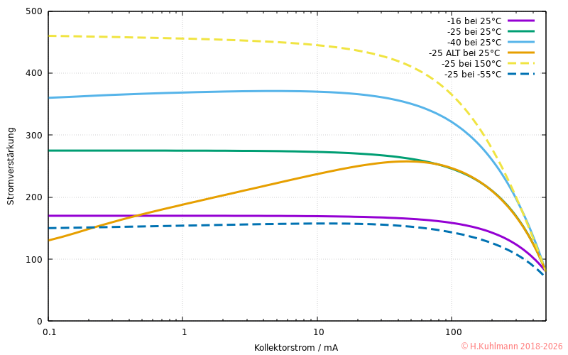
BC337-Stromverstaerkung.png
Bild 10: Stromverstärkung der BC337/BC338 und BC817/BC818

Die BC337/BC338 und BC817/BC818 werden in Stromverstärkungsgruppen eingeteilt:

-10 63-160
-16 160-250
-25 160-400
-40 250-600

Die obigen Kennlinien entsprechen den angegebenen Stromverstärkungsgruppen. Die Stromverstärkung ist temperaturabhängig (gestrichelte Linien gelb 150 °C, blau -50 °C). Einige Hersteller liefern den BC337 mit einer abweichenden Kennlinie der Stromverstärkung, z. B. (orange).

BC337-Saettigungsspannung.png
Bild 11: Sättigungsspannung der BC337/BC338 und BC817/BC818

Die Sättigungsspannung ist die Kollektor-Emitter-Spannung, die sich einstellt, wenn die BC337/BC338 und BC817/BC818 mit einem Basisstrom angesteuert werden, der ein Zehntel des Kollektorstroms beträgt Ib=Ic/10.

Diese Kennlinie variiert von Exemplar zu Exemplar. Die Abweichungen liegen bei 25 °C im Bereich zwischen den gestrichelten orangen und gelben Kennlinien. Die Sättigungsspannung ist temperaturabhängig (grün 150 °C, blau -50 °C).

Sicherer Arbeitsbereich (SOA)

BC337-SOA.png
Bild 12: Sicherer Arbeitsbereich der BC337/BC338 und BC817/BC818
  • Die maximale Spannung beträgt für die BC337 und BC817 Umax=45 V. Für die BC338 und BC818 beträgt Umax=25 V.

Die Arbeitsbereiche sind angegeben für

  • die BC337/BC338 und BC817/BC818 für Gleichstrom (DC) bei einer Umgebungstemperatur ta=25 °C,
  • die BC337/BC338 und BC817/BC818 für Gleichstrom (DC) bei einer Umgebungstemperatur ta=60 °C,
  • die BC337/BC338 für Gleichstrom (DC) bei einer Gehäusetemperatur tc=25 °C,
  • d. h., die BC337/BC338 werden über einen Kühlclip gekühlt.
  • Die Impulsbelastung ist für die Chiptemperatur tj=135 °C dargestellt.

Die BC337/BC338 und BC817/BC818 können analog mit Gleichstrom betrieben werden: DC SOA.

Typ Ic bei Uce unter bei Temperatur
BC337/BC338 500 mA 3 V Gehäusetemperatur tc=25 °C
BC337 32 mA 45 V Gehäusetemperatur tc=25 °C
BC338 58 mA 25 V Gehäusetemperatur tc=25 °C
BC337/BC338 500 mA 1,3 V Umgebungstemperatur ta=25 °C
BC337 14,4 mA 45 V Umgebungstemperatur ta=25 °C
BC338 25 mA 25 V Umgebungstemperatur ta=25 °C
BC337/BC338 500 mA 0,75 V Umgebungstemperatur ta=60 °C
BC337 8,3 mA 45 V Umgebungstemperatur ta=60 °C
BC338 15 mA 25 V Umgebungstemperatur ta=60 °C
BC817/BC818 500 mA 0,5 V Umgebungstemperatur ta=25 °C
BC817 5,5 mA 45 V Umgebungstemperatur ta=25 °C
BC818 10 mA 25 V Umgebungstemperatur ta=25 °C
BC817/BC818 500 mA 0,36 V Umgebungstemperatur ta=60 °C
BC817 4 mA 45 V Umgebungstemperatur ta=60 °C
BC818 7,3 mA 25 V Umgebungstemperatur ta=60 °C
  • Die Grenzlinien für die Impulsbelastung dürfen nur einmal oder sehr selten überschritten werden. Die BC337/BC338 und BC817/BC818 dürfen nur unterhalb des DC-Bereichs dauerhaft betrieben werden.
  • Meist werden die BC337/BC338 ohne zusätzliche Kühlung betrieben.
  • Wenn die Temperatur höher ist, muss die Leistung reduziert werden.
  • Der SOA des BC337/BC338 für DC kann entsprechend den %-Angaben rechts im Diagramm für die maximal zulässige Verlustleistung reduziert werden.