../icons/Logo.pngPraktische Elektronik


Die TPS2552, TPS2553, TPS2552-1 und TPS2553-1 sind Stromverteilungsschalter mit elektronischer Sicherung.


list.png

TPS2552, TPS2553, TPS2552-1 und TPS2553-1

Die TPS2552, TPS2553, TPS2552-1 und TPS2553-1 sind Stromverteilungsschalter mit elektronischer Sicherung.

Anwendungsschaltung

TPS2552.png
Bild 1: Prinzipschaltung der TPS2552, TPS2553, TPS2552-1 und TPS2553-1

Wirkung

Die TPS2552, TPS2553, TPS2552-1 und TPS2553-1 sind Stromverteilungsschalter für Spannungen zwischen 2,5 V und 6,5 V. Prinzipiell kann damit eine Last aus verschiedenen Quellen versorgt werden. Jede Quelle kann einzeln eingeschaltet werden.

  • Das Prinzip einer Stromverteilungsschaltung wird in So funktioniert's: Stromverteiler erklärt.
Attention attention

Die TPS2552, TPS2553, TPS2552-1 und TPS2553-1 sind nur für Spannungen von 2,5 V bis 6,5 V geeignet.

Die TPS2552, TPS2553, TPS2552-1 und TPS2553-1:

  • Sie haben eine integrierte elektronische Sicherung, die zwischen 70 mA und 1,5 A einstellbar ist.
  • Der maximale Strom wird mit dem Widerstand RIlim eingestellt.
  • Der Einschaltwiderstand beträgt ca. 100 mΩ.
  • Wenn die Ausgangsspannung größer als die Eingangsspannung ist, wird die Verbindung zwischen Eingang und Ausgang unterbrochen. Es kann also kein Strom vom Ausgang zum Eingang fließen.
  • Wenn die Eingangsspannung zu niedrig ist, unter 2,35 V, wird dies am Ausgang ~Fault signalisiert.
  • Der Ausgang ~Fault ist ein Open-Drain-Ausgang und wird aktiv (LOW), wenn:
  • der eingestellte Strom überschritten wird,
  • die Eingangsspannung zu niedrig ist und
  • die Ausgangsspannung größer als die Eingangsspannung ist.
  • Eine LED mit Vorwiderstand zwischen ~Fault und Uin leuchtet im Fehlerfall.

Einstellung der Strombegrenzung

Die Strombegrenzung wird über den Anschluss Lim eingestellt.

  • Wenn der Anschluss Lim mit In verbunden ist, wird der Strom auf 70 mA begrenzt.
  • RIlim entfällt dann.
  • Ströme zwischen 100 mA und 1,5 A werden mit RIlim eingestellt.

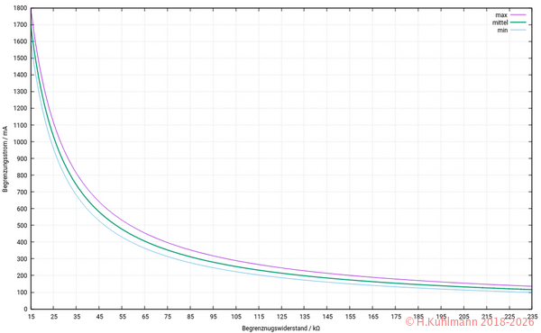
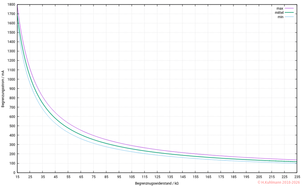
Der Widerstand wird am besten mithilfe von Bild 2 bestimmt.

TPS2552-RIlim_s.png
Bild 2: Begrenzungsstrom und Widerstand (nach Angaben von Texas Instruments)

Bild 2 zeigt den Zusammenhang zwischen dem Begrenzungswiderstand RIlim und dem Begrenzungsstrom Ilim. Die obere und die untere Kurve zeigen die möglichen Abweichungen.

Die folgende Tabelle zeigt die Werte von RIlim für einige Ströme an. Die Werte sind der E24-Reihe (5 %) entnommen.

  • RIlim darf 232 kΩ nicht überschreiten.
maximaler Strom RIlim
100 mA 220 kΩ
200 mA 110 kΩ
500 mA 47 kΩ
1 A 22 kΩ
1,5 A 15 kΩ

Varianten

Eingang En

  • Der TPS2552 und TPS2552-1 haben Eingänge En, die LOW-aktiv sind.
  • Der TPS2553 und TPS2553-1 haben Eingänge En, die HIGH-aktiv sind.

Elektronische Sicherung

  • Der TPS2552-1 und der TPS2553-1 schalten ab, wenn der eingestellte Strom Ilim überschritten wird.
  • Der TPS2552 und der TPS2553 begrenzen bei Überschreiten des eingestellten Stromes Ilim auf diesen Wert.
  • Der TPS2552 und der TPS2553 können relativ hohen Lasten ausgesetzt sein und können sich erwärmen.
    Bei Überhitzung wird der Strom reduziert.

Gehäuse

SOT23-6.png
Bild 3: TPS2552, TPS2553, TPS2552-1 und TPS2553-1 werden u. a. im SOT-23-6-Gehäuse geliefert.

Siehe SOT-23-6-Gehäuse.