../icons/Logo.pngPraktische Elektronik


Der N-Kanal-MOSFET IRLML6244 ist ein Schalter für 3 V-Systeme.


list.png

IRLML6244

Attention attention

Der IRLML6244 ist empfindlich gegen elektrostatische Entladung.

Bitte Vorsicht elektrostatische Entladung beachten.

Der IRLML6244 ist ein N-Kanal-MOSFET:

Udsmax Ugsmax Idmax Pmax Rdson Ugson Ugsth
20 V ±12 V 5,1 A 1,3 W 0,027 Ω 2,5 V 0,5 V bis 1,1 V
Udsmax maximal zulässige Drain-Source-Spannung
Ugsmax maximal zulässige Gate-Source-Spannung
Idmax maximal zulässiger Drain-Strom
Pmax maximal zulässige Leistung
Rdson Einschaltwiderstand bei Ugson
Ugson Gate-Source-Spannung für Rdson
Ugsth Gate-Source-Spannung, bei der der MOSFET leitend wird
Diese Grenzwerte dürfen nicht überschritten werden. Siehe: Betriebsdaten und Grenzdaten
  • Der IRLML6244 kann als Schalter eingesetzt werden.
  • Der IRLML6244 kann von Logik-Systemen ≥ 3 V angesteuert werden.
  • Die Gate-Source-Spannung darf maximal ±12 V betragen.
  • Das Gate des IRLML6244 ist nicht gegen höhere Spannungen geschützt.

Symbol

N-MOS-FET-Diode_Symbol.png
Bild 1: Symbol eines N-MOSFET

Wirkung

Eine positive Spannung Ugs von 2,5 V zwischen Gate und Source schaltet den MOSFET ein. Der Widerstand zwischen Drain und Source ist dann praktisch 0 (etwa 27 mΩ). Der Strom sollte bei Ugs = 2,5 V nicht größer als 3 A sein.

Gehäuse

Attention >

THT und SMD

Montage von Bauelementen auf Leiterplatten

THT (Through Hole Technology) Durchsteckmontage

  • Die Anschlüsse von THT-Bauelementen werden durch Löcher in der Platine gesteckt und von unten verlötet.
  • THT-Bauelemente werden auf der Oberseite der Platine montiert.
  • Bedrahtete Bauelemente wie Widerstände und Kondensatoren werden in THT montiert. Dazu müssen die Anschlussdrähte entsprechend gebogen werden.

SMD (Surface Mounted Device) Oberflächenmontage

  • SMD-Bauelemente benötigen keine Bohrungen, sondern werden direkt auf Kupferpads gelötet.
  • SMD-Bauelemente können auf beiden Seiten einer Platine montiert werden.
SOT23-3.png
Bild 2: IRLML6244 im SMD-Gehäuse Typ SOT-23-3

1 - Gate
2 - Source
3 - Drain

Montage auf Lochrasterplatinen

Das dreipolige SMD-Bauelement des IRLML6244 kann auf Lochrasterplatinen montiert werden: SOT-Gehäuse

Thermische Eigenschaften

Attention pin

60 °C

Eine maximale Umgebungstemperatur von 60 °C ist für die meisten unserer Anwendungen eine gute Wahl.

  • Die maximal zulässige Sperrschichttemperatur des IRLML6244 beträgt 150 °C.
  • Die maximal zulässige Leistung bei einer Umgebungstemperatur von 25°C ist Pmax=1300 mW.
  • Über 25°C Umgebungstemperatur verringert sich die maximal zulässige Leistung um 10 mW/°C.
IRLML6244-Pmax.png
Bild 3: Maximal zulässige Verlustleistung des IRLML6244 bei Umgebungstemperatur

Das obige Diagramm setzt voraus, dass der IRLML6244 auf einer Leiterplatte eingelötet ist.

Die maximal zulässige Verlustleistung kann einfach aus dem Diagramm entnommen werden.

Regeln

  • Der IRLML6244 ist empfindlich gegen elektrostatische Entladung.
  • Die Source des IRLML6244 wird an Minus (Masse) angeschlossen.
  • Die geschaltete Last liegt zwischen Drain und Plus.
  • Der IRLML6244 wird durch eine positive Spannung zwischen Source und Gate eingeschaltet.
  • Das Gate sollte niemals offen sein. Ein 1 MΩ Widerstand genügt.
  • Das Gate kann unmittelbar an den Ausgang eines CMOS-ICs angeschlossen werden.
  • Der IRLML6244 darf mit einer maximalen Gate-Source-Spannung von ±12 V betrieben werden.
  • Er kann mit Spannungen zwischen 3 V und 10 V betrieben werden.
  • Der IRLML6244 schaltet Ströme bis zu 1,5 A.
  • Der IRLML6244 verträgt keine hohen Leistungen,
  • maximal 0,9 W bei 60 °C.

Montage auf Lochrasterplatinen

Das dreipolige SMD-Bauelement des IRLML6244 kann auf Lochrasterplatinen montiert werden: SOT-Gehäuse

Weitere Daten und Kennlinien

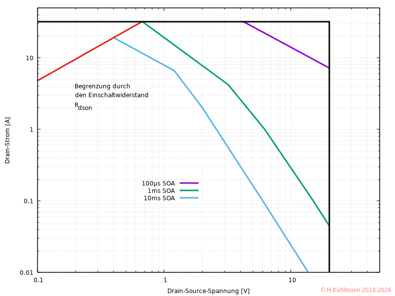
Sicherer Arbeitsbereich (SOA)

IRLML6244-SOA.png
Bild 4: Sicherer Arbeitsbereich (SOA) des IRLML6244
  • Der IRLML6244 sollte nicht analog mit Gleichstrom betrieben werden.