../icons/Logo.pngPraktische Elektronik


Der P-Kanal-MOSFET AO3415 A ist ein Schalter, der sich gut als Verpolungsschutz eignet.


list.png

AO3415 A

Attention attention

Der AO3415 A ist empfindlich gegen elektrostatische Entladung, verfügt jedoch über einen Schutz für das Gate.

Bitte Vorsicht elektrostatische Entladung beachten.

Der AO3415 A ist ein P-Kanal-MOSFET.

Udsmax Ugsmax Idmax Pmax Rdson Ugson Ugsth
-20 V ±8 V -5 A 1500 mW 0,04 Ω -2,5 V -0,3 V bis -0,9 V
Udsmax maximal zulässige Drain-Source-Spannung
Ugsmax maximal zulässige Gate-Source-Spannung
Idmax maximal zulässiger Drain-Strom
Pmax maximal zulässige Leistung
Rdson Einschaltwiderstand bei Ugson
Ugson Gate-Source-Spannung für Rdson
Ugsth Gate-Source-Spannung, bei der der MOSFET leitend wird (< wegen -)
Diese Grenzwerte dürfen nicht überschritten werden. Siehe: Betriebsdaten und Grenzdaten
  • Der AO3415 A kann als Schalter und Verpolungsschutz verwendet werden.
  • Der AO3415 A kann von Logiksystemen ≥ 3 V angesteuert werden.
  • Die Gate-Source-Spannung darf maximal ±8 V betragen.
  • Das Gate des AO3415 A ist gegen höhere Spannungen geschützt.

Symbol

P-MOS-FET-Diode_Symbol.png
Bild 1: Symbol eines P-MOSFET

Wirkung

Eine negative Spannung von -2,5 V zwischen Gate und Source schaltet den MOSFET ein. Der Widerstand zwischen Drain und Source ist dann praktisch 0 (etwa 42 mΩ).

Der AO3415 A beginnt bei -0,57 V (-0,3 V bis -0,9 V) zu leiten.

P-MOS-FET-Diode_Z-Dioden.png
Bild 2: Schutzschaltung des Gates des AO3415 A

Das Gate des AO3415 A ist durch Z-Dioden gegen elektrostatische Entladung geschützt.

Gehäuse

Attention >

THT und SMD

Montage von Bauelementen auf Leiterplatten

THT (Through Hole Technology) Durchsteckmontage

  • Die Anschlüsse von THT-Bauelementen werden durch Löcher in der Platine gesteckt und von unten verlötet.
  • THT-Bauelemente werden auf der Oberseite der Platine montiert.
  • Bedrahtete Bauelemente wie Widerstände und Kondensatoren werden in THT montiert. Dazu müssen die Anschlussdrähte entsprechend gebogen werden.

SMD (Surface Mounted Device) Oberflächenmontage

  • SMD-Bauelemente benötigen keine Bohrungen, sondern werden direkt auf Kupferpads gelötet.
  • SMD-Bauelemente können auf beiden Seiten einer Platine montiert werden.
SOT23-3.png
Bild 3: AO3415 A im SMD-Gehäuse Typ SOT-23-3

1 - Gate
2 - Source
3 - Drain

Montage auf Lochrasterplatinen

Das dreipolige SMD-Bauelement des AO3415 A kann auf Lochrasterplatinen montiert werden: SOT-Gehäuse

Thermische Eigenschaften

Attention pin

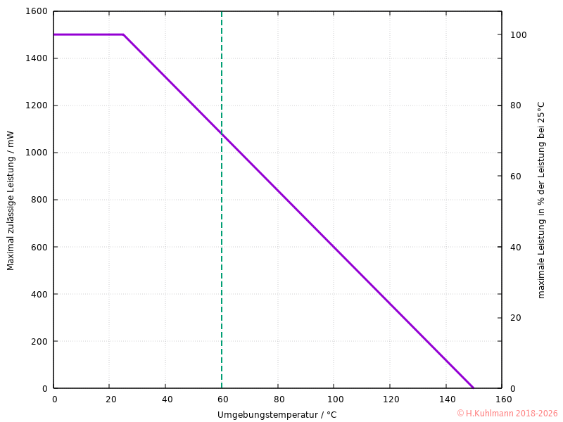
60 °C

Eine maximale Umgebungstemperatur von 60 °C ist für die meisten unserer Anwendungen eine gute Wahl.

  • Die maximal zulässige Sperrschichttemperatur des AO3415 A beträgt 150 °C.
  • Die maximal zulässige Leistung bei einer Umgebungstemperatur von 25°C ist Pmax=1500 mW.
  • Über 25°C Umgebungstemperatur reduziert sich die maximal zulässige Leistung um 12 mW/°C.
AO3415A-Pmax.png
Bild 4: Maximal zulässige Verlustleistung des AO3415 A bei Umgebungstemperatur

Das obige Diagramm geht davon aus, dass der AO3415 A auf eine Leiterplatte gelötet ist.

Die maximal zulässige Verlustleistung kann einfach aus dem Diagramm abgelesen werden.

Regeln

  • Der AO3415 A ist empfindlich gegen elektrostatische Entladung, hat aber einen Schutz für das Gate.
  • Die Source des AO3415 A wird an Plus angeschlossen.
  • Die geschaltete Last liegt zwischen Drain und Minus bzw. Masse.
  • Der AO3415 A wird durch eine negative Spannung zwischen Source und Gate eingeschaltet.
  • Das Gate sollte niemals offen sein. Ein 1 MΩ Widerstand genügt.
  • Der AO3415 A schaltet Ströme bis -5 A gut.
  • Das Gate kann unmittelbar an den Ausgang eines CMOS-ICs angeschlossen werden.
  • Der AO3415 A darf mit einer maximalen Gate-Source-Spannung von ±8 V betrieben werden.
  • Er kann mit Spannungen zwischen 3 V und 12 V betrieben werden.
  • Der AO3415 A darf linear (analog) betrieben werden:
  • 0,1 A und 10 V
  • 0,2 A und 5 V
  • Der AO3415 A verträgt keine hohen Leistungen:
  • maximal 1000 mW bei 60 °C.

Beispiel: Verpolungsschutz

Verpolungsschutz.png
Bild 5: Verpolungsschutz mit AO3415 A

Der AO3415 A besitzt eine integrierte Diode. Der Strom fließt durch diese Diode, wenn der AO3415 A nicht eingeschaltet ist. Wenn die Gate-Source-Spannung größer als -2,5 V ist, schließt der MOSFET die Diode kurz. Diese Schaltung wird im Praktikum Komplementäre Transistoren näher beschrieben.

Attention pin

Verpolungsschutz

  • Der AO3415 A wird als Verpolungsschutz "falsch" herum betrieben.
  • Der AO3415 A wirkt nicht als Diode, da er auch von +Uout nach +Uin leitet, wenn +Uout größer als 2,5 V ist.

Weitere Daten und Kennlinien

  • Kennlinien werden im Praktikum Kennlinien beschrieben.

Sicherer Arbeitsbereich (SOA)

AO3415A-SOA.png
Bild 6: Sicherer Arbeitsbereich des AO3415 A

Der AO3415A kann analog mit Gleichstrom betrieben werden: DC SOA.

Id bei Uds unter
-4 A -0,3 V
-0,06 A -20 V
  • Die Grenzlinien dürfen nur einmalig oder sehr selten überschritten werden. Der AO3415A darf dauerhaft nur unterhalb des DC-Bereichs betrieben werden.
  • Der SOA für DC kann entsprechend den %-Angaben rechts im Diagramm für die maximal zulässige Verlustleistung reduziert werden.