../icons/Logo.pngPraktische Elektronik


Der BSS138 ist ein universell einsetzbarer N-Kanal-Kleinsignal-MOSFET im SMD-Gehäuse.


list.png

BSS138

Attention attention

Der BSS138 ist sehr empfindlich gegen elektrostatische Entladungen.

Bitte Vorsicht elektrostatische Entladung beachten.

Der BSS138 ist ein N-Kanal-Kleinsignal-MOSFET.

Udsmax Ugsmax Idmax Pmax Rdson Ugson Ugsth
50 V ±20 V 220 mA 360 mW 1,0 Ω (< 6,0 Ω) 4,5 V 0,8 V bis 1,5 V
Udsmax maximal zulässige Drain-Source-Spannung
Ugsmax maximal zulässige Gate-Source-Spannung
Idmax maximal zulässiger Drain-Strom
Pmax maximal zulässige Leistung
Rdson Einschaltwiderstand bei Ugson
Ugson Gate-Source-Spannung für Rdson
Ugsth Gate-Source-Spannung, bei der der MOSFET leitend wird
Diese Grenzwerte dürfen nicht überschritten werden. Siehe: Betriebsdaten und Grenzdaten
  • Der BSS138 kann als Verstärker und Schalter eingesetzt werden.
  • Der BSS138 kann von CMOS-Logik-Systemen ab 5 V angesteuert werden. Es sind nur Drain-Ströme von maximal 100 mA sinnvoll.

Symbol

N-MOS-FET-Diode_Symbol.png
Bild 1: Symbol eines N-MOSFETs

Wirkung

Durch eine positive Spannung zwischen Gate und Source wird der N-Kanal-MOSFET zwischen Drain und Source leitend. Der MOSFET ist spannungsgesteuert.

Gehäuse

Attention >

THT und SMD

Montage von Bauelementen auf Leiterplatten

THT (Through Hole Technology) Durchsteckmontage

  • Die Anschlüsse von THT-Bauelementen werden durch Löcher in der Platine gesteckt und von unten verlötet.
  • THT-Bauelemente werden auf der Oberseite der Platine montiert.
  • Bedrahtete Bauelemente wie Widerstände und Kondensatoren werden in THT montiert. Dazu müssen die Anschlussdrähte entsprechend gebogen werden.

SMD (Surface Mounted Device) Oberflächenmontage

  • SMD-Bauelemente benötigen keine Bohrungen, sondern werden direkt auf Kupferpads gelötet.
  • SMD-Bauelemente können auf beiden Seiten einer Platine montiert werden.
SOT23-3.png
Bild 2: BSS138 im SMD-Gehäuse vom Typ SOT-23-3

1 - Gate
2 - Source
3 - Drain

Montage auf Lochrasterplatinen

Das dreipolige SMD-Bauelement des BSS138 kann auf eine Lochrasterplatine montiert werden: SOT-Gehäuse

Thermische Eigenschaften

Attention pin

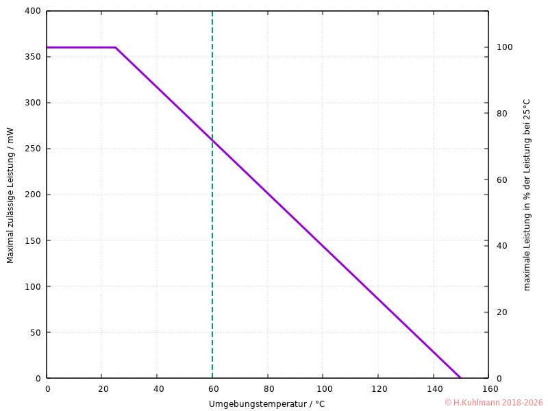
60 °C

Eine maximale Umgebungstemperatur von 60 °C ist für die meisten unserer Anwendungen eine gute Wahl.

  • Die maximal zulässige Sperrschichttemperatur des BSS138 beträgt 150 °C.
  • Die maximal zulässige Leistung bei einer Umgebungstemperatur von 25°C ist Pmax=360 mW.
  • Über 25°C Umgebungstemperatur verringert sich die maximal zulässige Leistung um 2,88 mW/°C.
BSS138-Pmax.png
Bild 3: Maximal zulässige Verlustleistung des BSS138 in Abhängigkeit von der Umgebungstemperatur

Das obige Diagramm setzt voraus, dass der BSS138 auf einer Leiterplatte eingelötet ist.

Die maximal zulässige Verlustleistung kann einfach aus dem Diagramm entnommen werden.

Regeln

  • Der BSS138 ist sehr empfindlich gegen elektrostatische Entladungen.
  • Die Source wird mit Minus verbunden.
  • Der Lastwiderstand liegt zwischen Drain und Plus.
  • Das Gate ist isoliert. Es fließt kein Strom in das Gate.
  • Das Gate darf nie offen sein. Ein Widerstand von 1 MΩ genügt.
  • Durch eine positive Spannung zwischen Gate und Source von etwa 1,1 V (0,8 V bis 1,5 V) wird der BSS138 leitend.
  • Bei einer positiven Spannung zwischen Gate und Source von 2 V schaltet der BSS138 200 mA.
  • Der BSS138 sollte für kleine Ströme bis 100 mA verwendet werden.
  • Der BSS138 kann mit dem Gate direkt an einen CMOS-Ausgang ab 3,3 V angeschlossen werden und schaltet dann bis zu 200 mA.
  • Der BSS138 kann bei Spannungen bis 12 V mit einem Lastwiderstand von minimal 120 Ω sicher betrieben werden.
  • Zwischen Drain und Source befindet sich eine Diode, die bei negativer Spannung leitend wird.
  • Der BSS138 verträgt keine hohen Leistungen:
  • maximal 250 mW bei 60 °C
  • 360 mW nur bei 25 °C Umgebungstemperatur
  • Als Schalter kann der BSS138 mit 50 V und 200 mA betrieben werden.
  • Der BSS138 darf linear (analog) betrieben werden:
  • 240 mA und 1,5 V
  • 7 mA und 50 V

Weitere Daten und Kennlinien

  • Kennlinien werden im Praktikum Kennlinien beschrieben.
BSS138-Ausgangskennlinien.png
Bild 4: Ausgangskennlinien des BSS138

Diese Ausgangskennlinien sind typische Kennlinien. Die tatsächlichen Werte können deutlich abweichen. z. B. liegt die Gate-Source-Spannung Ugsth, bei der der MOSFET leitend wird, im Bereich von 0,8 V bis 1,5 V.

Die Leistungskurve für 300 mW gibt an, mit welchem Drain-Strom der BSS138 bei welcher Source-Drain-Spannung maximal betrieben werden darf. Der Strom muss immer unterhalb der Leistungskurve liegen.

Der BSS138 darf nur für sehr kurze Zeit, unter 100µs oberhalb der Leistungskurve betrieben werden. Wenn der BSS138 als Schalter verwendet wird, wird er während des Ein- und Ausschaltvorgangs häufig kurzzeitig oberhalb der Leistungskurve betrieben. Im eingeschalteten Zustand wird er meist unterhalb der Leistungskurve betrieben.

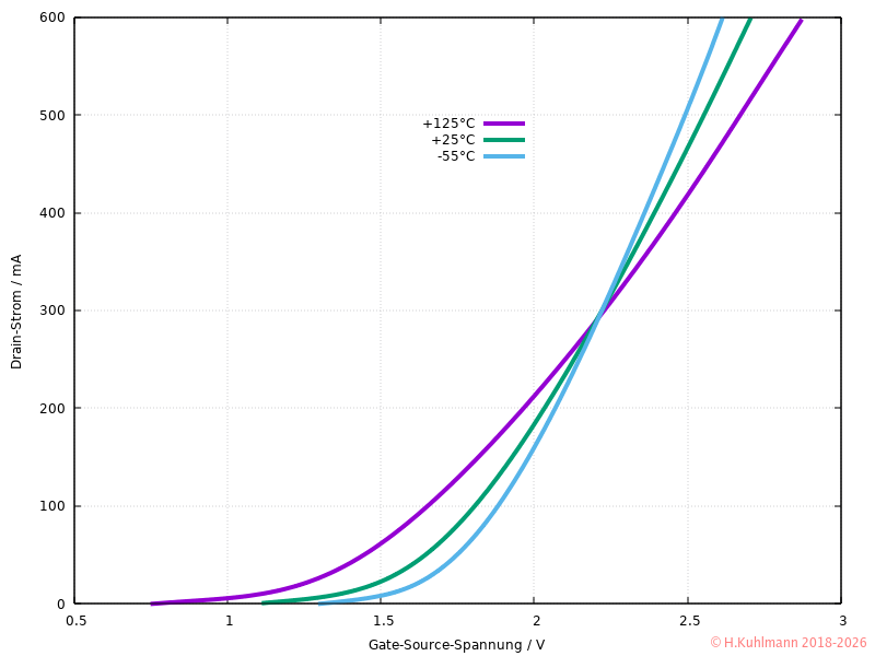
BSS138-Gatespannung-Drainstrom.png
Bild 5: Drain-Strom als Funktion der Gate-Source-Spannung

Der Drain-Strom ist temperaturabhängig und damit auch die Ausgangskennlinien.

Sicherer Arbeitsbereich (SOA)

BSS138-SOA.png
Bild 6: Sicherer Arbeitsbereich (SOA) des BSS138

Der BSS138 kann analog mit Gleichstrom betrieben werden: DC SOA.

Id bei Uds unter
240 mA 1,5 V
7 mA 50 V
  • Die Grenzlinien dürfen nur einmalig oder sehr selten überschritten werden. Der BSS138 darf dauerhaft nur unterhalb des DC-Bereichs betrieben werden.
  • Wenn die Temperatur höher ist, muss die Leistung reduziert werden.
  • Der SOA des BSS138 für DC kann entsprechend den %-Angaben rechts im Diagramm für die maximal zulässige Verlustleistung reduziert werden.