../icons/Logo.pngPraktische Elektronik


Der P-Kanal-MOSFET NDP6020P ist ein Leistungsschalter, der von Logik angesteuert werden kann.


list.png

NDP6020P

Attention attention

Der NDP6020P ist empfindlich gegen elektrostatische Entladung.

Bitte Vorsicht elektrostatische Entladung beachten.

Der NDP6020P ist ein P-Kanal-MOSFET.

Udsmax Ugsmax Idmax Pmax Rdson Ugson Ugsth
-20 V ±8 V -24 A 1 W - 60 W 0,041 Ω -4,5 V < -1,1 V bis -1,3 V
Udsmax Maximal zulässige Drain-Source-Spannung
Ugsmax Maximal zulässige Gate-Source-Spannung
Idmax Maximal zulässiger Drain-Strom
Pmax Maximal zulässige Leistung
Rdson Einschaltwiderstand bei Ugson
Ugson Gate-Source-Spannung für Rdson
Ugsth Gate-Source-Spannung, bei der der MOSFET leitend wird (< wegen -)
  • Der NDP6020P kann als Schalter eingesetzt werden.
  • Der NDP6020P kann von Logiksystemen ≥ 5 V nur bedingt angesteuert werden.
  • Die Gate-Source-Spannung darf maximal ±8 V betragen.
  • Das Gate des NDP6020P ist nicht gegen höhere Spannungen geschützt.

Symbol

P-MOS-FET-Diode_Symbol.png
Bild 1: Symbol eines P-MOSFET

Wirkung

Eine negative Spannung Ugs von -3 V zwischen Gate und Source schaltet den MOSFET ein. Der Widerstand zwischen Drain und Source ist dann praktisch 0 (etwa 41 mΩ). Der Strom sollte bei Ugs = -3 V nicht größer als -5 A sein.

Bei einer negativen Spannung Ugs von -0,7 V zwischen Gate und Source beginnt der MOSFET zu leiten.

Gehäuse

TO220.png
Bild 2: NDP6020P im TO-220-Gehäuse

a - Gate
b - Drain
c - Source
Der mittlere Anschluss b ist mit der Kühlfahne d verbunden.

Thermische Eigenschaften

Attention pin

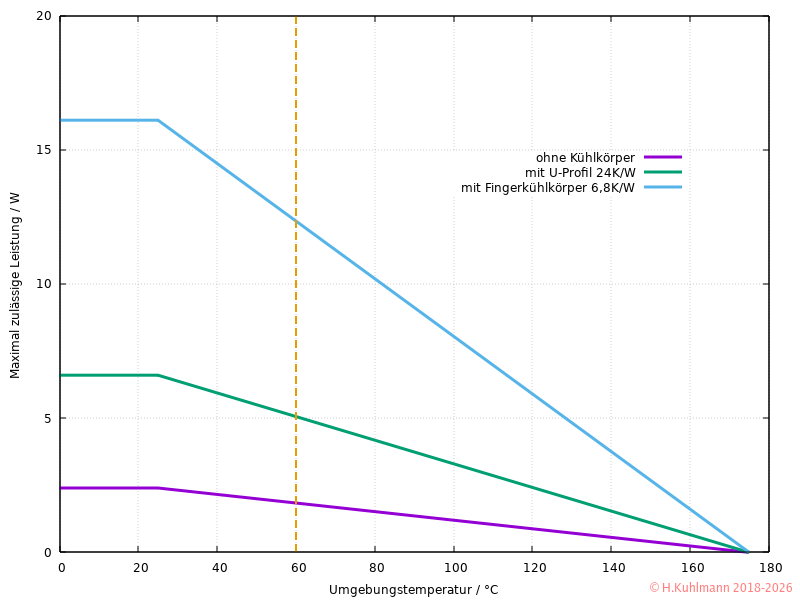
60 °C

Eine maximale Umgebungstemperatur von 60 °C ist für die meisten unserer Anwendungen eine gute Wahl.

Die maximal zulässige Sperrschichttemperatur des NDP6020P beträgt 175 °C.

  • Die maximal zulässige Leistung bei einer Umgebungstemperatur von 25°C ist Pmax=2,4 W.
  • Über 25°C Umgebungstemperatur verringert sich die maximal zulässige Leistung um 0,016 W/K.
  • Die maximal zulässige Leistung bei einer Gehäusetemperatur von 25°C ist Pmax=60 W.
  • Mit einem U-Profil-Kühlkörper mit 24 K/W ist bei 25°C Umgebungstemperatur eine Leistung von Pmax=6,6 W möglich.
  • Über 25°C Umgebungstemperatur verringert sich die maximal zulässige Leistung um 0,038 W/K.
  • Mit einem Fingerkühlkörper mit 6,8 K/W ist bei 25°C Umgebungstemperatur eine Leistung von Pmax=16,1 W möglich.
  • Über 25°C Umgebungstemperatur verringert sich die maximal zulässige Leistung um 0,108 W/K.
NDP6020P-Pmax.png
Bild 3: Maximal zulässige Verlustleistung des NDP6020P bei Umgebungstemperatur

Das obige Diagramm setzt voraus,

  • dass der NDP6020P auf eine Leiterplatte ohne Kühlkörper gelötet wird oder
  • ein U-Profil-Kühlkörper mit einem Wärmewiderstand von 24 K/W oder
  • ein Fingerkühlkörper mit 6,8 K/W verwendet wird.
  • Bei den Kühlkörpern wird der Wärmewiderstand des Gehäuses von 1,67 K/W berücksichtigt.

Die maximal zulässige Verlustleistung kann einfach aus dem Diagramm entnommen werden.

  • Wird der NDP6020P mit relativ hoher Leistung freistehend betrieben,
  • kann er über 100 °C heiß werden und die umliegenden Bauelemente erhitzen.
  • Ein kleiner Kühlkörper ist oft effizienter.

Regeln

  • Der NDP6020P ist empfindlich gegen elektrostatische Entladung.
  • Die Source des NDP6020P wird an Plus angeschlossen.
  • Die geschaltete Last liegt zwischen Drain und Minus bzw. Masse.
  • Der NDP6020P wird durch eine negative Spannung zwischen Source und Gate eingeschaltet.
  • Das Gate sollte niemals offen sein. Ein 1 MΩ Widerstand genügt.
  • Der NDP6020P darf mit einer maximalen Gate-Source-Spannung von ±8 V betrieben werden.
  • Das Gate des NDP6020P kann unmittelbar an den Ausgang eines CMOS-ICs angeschlossen werden,
  • wenn er mit Strömen unter 5 A belastet wird.
  • Er kann mit Spannungen zwischen 5 V (3 V) und 20 V betrieben werden,
  • aber die Gate-Source-Spannung darf 8 V nicht überschreiten.
  • Der NDP6020P schaltet Ströme bis 5 A gut, wenn er mit Ugs=-3 V angesteuert wird.
  • Der NDP6020P kann ohne Kühlung mit maximal 1 W betrieben werden.
  • Als Schalter kann der NDP6020P mit Strömen bis 5 A ohne Kühlung betrieben werden.
  • Bei schnellen Schaltungen muss ein spezieller Treiber verwendet werden.
  • Der NDP6020P darf linear (analog) betrieben werden,
  • -24 A und -2,5 V
  • -6 A und -10 V
  • -3 A und -20 V
  • Die Ströme müssen bei höheren Temperaturen und Leistungen reduziert werden.

Weitere Daten und Kennlinien

  • Kennlinien werden im Praktikum Kennlinien beschrieben.

Sicherer Arbeitsbereich (SOA)

SOA-NDP6020P_s.png
Bild 4: Sicherer Arbeitsbereich des NDP6020P

Der NDP6020P kann analog mit Gleichstrom betrieben werden: DC SOA. Bei Gleichstrombetrieb ist der maximal zulässige Gleichstrom ImaxDC zu beachten.

Id bei Uds unter
-24 A -2,5 V
-6 A -10 V
-3 A -20 V
  • Die Grenzlinien dürfen nur einmalig oder sehr selten überschritten werden. Der NDP6020P darf dauerhaft nur unterhalb des DC-Bereichs betrieben werden.
SOA-NDP6020P-0.3_s.png
Bild 5: Reduzierung des SOA für eine Gehäusetemperatur von 130 °C

Bei einer Gehäusetemperatur von 130 °C muss der sichere Arbeitsbereich (SOA) auf 30 % reduziert werden.