../icons/Logo.pngPraktische Elektronik


Der N-Kanal-MOSFET NDP6060L ist ein Leistungsschalter.


list.png

NDP6060 L

Attention attention

Der NDP6060L ist empfindlich gegen elektrostatische Entladung.

Bitte Vorsicht elektrostatische Entladung beachten.

Der NDP6060L ist ein N-Kanal-MOSFET.

Udsmax Ugsmax Idmax Pmax Rdson Ugson Ugsth
60 V ±16 V 44 A 100 W 0,0254 Ω 5 V 1 V bis 2 V
Udsmax maximal zulässige Drain-Source-Spannung
Ugsmax maximal zulässige Gate-Source-Spannung
Idmax maximal zulässiger Drain-Strom
Pmax maximal zulässige Leistung
Rdson Einschaltwiderstand bei Ugson
Ugson Gate-Source-Spannung für Rdson
Ugsth Gate-Source-Spannung, bei der der MOSFET leitend wird
  • Der NDP6060L kann als Schalter eingesetzt werden.
  • Der NDP6060L kann von Logik-Systemen ≥ 5 V nur bedingt angesteuert werden.
  • Die Gate-Source-Spannung darf maximal ±16 V betragen.
  • Das Gate des NDP6060L ist nicht gegen höhere Spannungen geschützt.

Symbol

N-MOS-FET-Diode_Symbol.png
Bild 1: Symbol eines N-MOSFET

Wirkung

Eine positive Spannung Ugs von 4 V zwischen Gate und Source schaltet den MOSFET ein. Der Widerstand zwischen Drain und Source ist dann praktisch 0 (etwa 15 mΩ). Der Strom sollte bei Ugs = 4 V nicht größer als 5 A sein.

Bei einer positiven Spannung Ugs von 1,5 V zwischen Gate und Source beginnt der MOSFET zu leiten.

Gehäuse

TO220.png
Bild 2: NDP6060 L im TO-220-Gehäuse

a - Gate
b - Drain
c - Source
Der mittlere Anschluss b ist mit der Kühlfahne d verbunden.

Thermische Eigenschaften

Attention pin

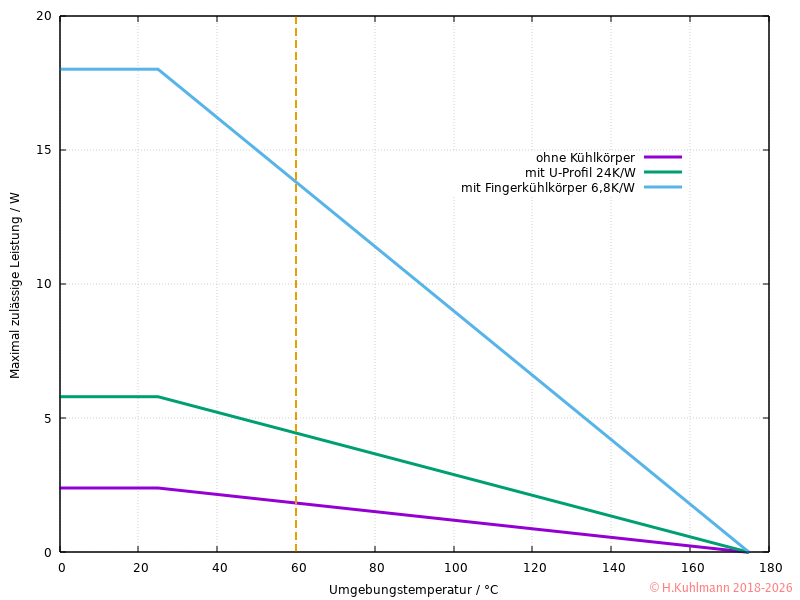
60 °C

Eine maximale Umgebungstemperatur von 60 °C ist für die meisten unserer Anwendungen eine gute Wahl.

Die maximal zulässige Sperrschichttemperatur des NDP6060L beträgt 175 °C.

  • Die maximal zulässige Leistung bei einer Umgebungstemperatur von 25°C ist Pmax=2,4 W.
  • Über 25°C Umgebungstemperatur verringert sich die maximal zulässige Leistung um 0,016 W/K.
  • Die maximal zulässige Leistung bei einer Gehäusetemperatur von 25°C ist Pmax=100 W.
  • Mit einem U-Profil-Kühlkörper mit 24 K/W ist bei 25°C Umgebungstemperatur eine Leistung von Pmax=5,9 W möglich.
  • Über 25°C Umgebungstemperatur verringert sich die maximal zulässige Leistung um 0,039 W/K.
  • Mit einem Fingerkühlkörper mit 6,8 K/W ist bei 25°C Umgebungstemperatur eine Leistung von Pmax=18 W möglich.
  • Über 25°C Umgebungstemperatur verringert sich die maximal zulässige Leistung um 0,120 W/K.
NDP6060L-Pmax.png
Bild 3: Maximale zulässige Verlustleistung des NDP6060 L bei Umgebungstemperatur

Das obige Diagramm setzt voraus,

  • dass der NDP6060L auf eine Leiterplatte ohne Kühlkörper gelötet wird oder
  • ein U-Profil-Kühlkörper mit einem Wärmewiderstand von 24 K/W oder
  • ein Fingerkühlkörper mit 6,8 K/W verwendet wird.
  • Bei den Kühlkörpern wird der Wärmewiderstand des Gehäuses von 1,5 K/W berücksichtigt.

Die maximal zulässige Verlustleistung kann einfach aus dem Diagramm entnommen werden.

  • Wird der NDP6060L mit relativ hoher Leistung freistehend betrieben,
  • kann er über 100 °C heiß werden und die umliegenden Bauelemente erhitzen.
  • Ein kleiner Kühlkörper ist oft effizienter.

Regeln

  • Der NDP6060L ist empfindlich gegen elektrostatische Entladung.
  • Die Source des NDP6060L wird an Minus bzw. Masse angeschlossen.
  • Die geschaltete Last liegt zwischen Drain und Plus.
  • Der NDP6060L wird durch eine positive Spannung zwischen Source und Gate eingeschaltet.
  • Das Gate sollte niemals offen sein. Ein 1 MΩ Widerstand genügt.
  • Der NDP6060L darf mit einer maximalen Gate-Source-Spannung von ±16 V betrieben werden.
  • Das Gate des NDP6060L kann unmittelbar an den Ausgang eines CMOS-ICs angeschlossen werden,
  • wenn er mit Strömen unter 5 A belastet wird.
  • Er kann mit Spannungen zwischen 5 V und 40 V betrieben werden,
  • aber die Gate-Source-Spannung darf 16 V nicht überschreiten.
  • Der NDP6060L schaltet Ströme bis 5 A gut, wenn er mit Ugs=4 V angesteuert wird.
  • Der NDP6060L kann ohne Kühlung mit maximal 1 W betrieben werden.
  • Als Schalter kann der NDP6060L mit Strömen bis 5 A ohne Kühlung betrieben werden.
  • Bei schnellen Schaltungen muss ein spezieller Treiber verwendet werden.
  • Der NDP6060L darf linear (analog) betrieben werden:
  • 2 A bei 50 V
  • 5 A bei 20 V
  • Die Ströme müssen bei höheren Temperaturen und Leistungen reduziert werden.

Weitere Daten und Kennlinien

  • Kennlinien werden im Praktikum Kennlinien beschrieben.
NDP6060L-Ausgangskennlinien.png
Bild 4: Ausgangskennlinien des NDP6060 L

Im Diagramm für die Ausgangskennlinien des NDP6060L sind drei Leistungskurven eingetragen, die nicht überschritten werden dürfen.

Sicherer Arbeitsbereich (SOA)

SOA-NDP6060L_s.png
Bild 5: Sicherer Arbeitsbereich des NDP6060 L

Der NDP6060L kann analog mit Gleichstrom betrieben werden: DC SOA. Bei Gleichstrombetrieb ist der maximal zulässige Gleichstrom ImaxDC zu beachten.

Id bei Uds unter
44 A 2,3 V
5 A 20 V
2 A 50 V
  • Die Grenzlinien dürfen nur einmalig oder sehr selten überschritten werden. Der NDP6060L darf dauerhaft nur unterhalb des DC-Bereichs betrieben werden.