../icons/Logo.pngPraktische Elektronik


Der P-Kanal-MOSFET IRF7410 ist ein Schalter für Ströme bis zu 13 A an Logiksystemen.


list.png

IRF7410

Attention attention

Der IRF7410 ist gegen elektrostatische Entladung empfindlich.

Bitte Vorsicht elektrostatische Entladung beachten.

Der IRF7410 ist ein P-Kanal-MOSFET

Udsmax Ugsmax Idmax Pmax Rdson Ugson Ugsth
-12 V ±8 V -10 A 2500 mW 0,009 Ω -0,9 V -0,4 V bis -0,9 V
Udsmax maximal zulässige Drain-Source-Spannung
Ugsmax maximal zulässige Gate-Source-Spannung
Idmax maximal zulässiger Drain-Strom
Pmax maximal zulässige Leistung
Rdson Einschaltwiderstand bei Ugson
Ugson Gate-Source-Spannung für Rdson
Ugsth Gate-Source-Spannung, bei der der MOSFET leitend wird
Diese Grenzwerte dürfen nicht überschritten werden. Siehe: Betriebsdaten und Grenzdaten
  • Der IRF7410 kann als Schalter und Verpolungsschutz eingesetzt werden.
  • Der IRF7410 kann von Logik-Systemen ≥ 3 V angesteuert werden.
  • Die Gate-Source-Spannung darf ±8 V nicht überschreiten.
  • Das Gate des IRF7410 ist nicht gegen höhere Spannungen geschützt.

Symbol

P-MOS-FET-Diode_Symbol.png
Bild 1: Symbol eines P-MOSFET

S - Source, D - Drain, G - Gate

Wirkung

Eine negative Spannung Ugs von -2,5 V zwischen Gate und Source schaltet den MOSFET ein. Der Widerstand zwischen Drain und Source ist dann praktisch 0 (etwa 9 mΩ). Der Strom sollte bei Ugs = -2,5 V nicht mehr als -12 A betragen.

Gehäuse

Attention >

THT und SMD

Montage von Bauelementen auf Leiterplatten

THT (Through Hole Technology) Durchsteckmontage

  • Die Anschlüsse von THT-Bauelementen werden durch Löcher in der Platine gesteckt und von unten verlötet.
  • THT-Bauelemente werden auf der Oberseite der Platine montiert.
  • Bedrahtete Bauelemente wie Widerstände und Kondensatoren werden in THT montiert. Dazu müssen die Anschlussdrähte entsprechend gebogen werden.

SMD (Surface Mounted Device) Oberflächenmontage

  • SMD-Bauelemente benötigen keine Bohrungen, sondern werden direkt auf Kupferpads gelötet.
  • SMD-Bauelemente können auf beiden Seiten einer Platine montiert werden.
SO-8.png
Bild 2: IRF7410 im SMD-Gehäuse Typ SO-8

1 - Source
2 - Source
3 - Source
4 - Gate
5 - Drain
6 - Drain
7 - Drain
8 - Drain

Montage auf Lochrasterplatinen

Das achtpolige SMD-Bauelement des IRF7410 kann auf Lochrasterplatinen montiert werden: SO-Gehäuse.

Thermische Eigenschaften

Attention pin

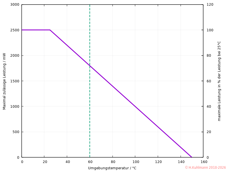
60 °C

Eine maximale Umgebungstemperatur von 60 °C ist für die meisten unserer Anwendungen eine gute Wahl.

  • Die maximal zulässige Sperrschichttemperatur des IRF7410 beträgt 150 °C.
  • Die maximal zulässige Leistung bei einer Umgebungstemperatur von 25°C ist Pmax=1600 mW.
  • Über 25°C Umgebungstemperatur verringert sich die maximal zulässige Leistung um 20 mW/°C.
IRF7410-Pmax.png
Bild 3: Maximal zulässige Verlustleistung des IRF7410 bei Umgebungstemperatur

Das obige Diagramm setzt voraus, dass der IRF7410 auf einer Leiterplatte eingelötet ist.

Die maximal zulässige Verlustleistung kann einfach aus dem Diagramm entnommen werden.

Regeln

  • Der IRF7410 ist empfindlich gegen elektrostatische Entladung.
  • Die Source des IRF7410 wird an Plus angeschlossen.
  • Der IRF7410 wird durch eine negative Spannung zwischen Source und Gate eingeschaltet.
  • Die geschaltete Last liegt zwischen Drain und Minus bzw. Masse.
  • Das Gate darf niemals offen sein. Ein 1 MΩ-Widerstand ist ausreichend.
  • Der IRF7410 schaltet Ströme bis zu -13 A gut, wenn er mit Ugs=-2,5 V angesteuert wird.
  • Der IRF7410 darf mit einer maximalen Gate-Source-Spannung von ±8 V betrieben werden.
  • Er kann gut mit Spannungen zwischen 3 V und 12 V betrieben werden.
  • Das Gate kann direkt mit dem Ausgang eines CMOS-ICs verbunden werden.
  • Der IRF7410 verträgt keine hohen Leistungen,
  • maximal 1,8 W bei 60 °C Umgebungstemperatur.

Weitere Daten und Kennlinien

  • Kennlinien werden im Praktikum Kennlinien beschrieben.

Sicherer Arbeitsbereich (SOA)

IRF7410-SOA.png
Bild 4: Sicherer Arbeitsbereich des IRF7410

Der IRF7410 kann analog mit Gleichstrom betrieben werden: DC SOA.

  • Der DC SOA wird nicht vom Hersteller angegeben.
Id bei Uds unter
-10 A -0,13 V
-0,12 A -12 V
  • Die Grenzwerte dürfen nur einmalig oder sehr selten überschritten werden. Der IRF7410 darf dauerhaft nur unterhalb des DC-Bereichs betrieben werden.
  • Der SOA für DC kann entsprechend den %-Angaben rechts im Diagramm für die maximal zulässige Verlustleistung reduziert werden.