../icons/Logo.pngPraktische Elektronik


Der IRFZ24 N ist ein N-Kanal-Leistungs-MOSFET


list.png

IRFZ24 N

Attention attention

Der IRFZ24 N ist empfindlich gegen elektrostatische Entladung.

Bitte Vorsicht elektrostatische Entladung beachten.

Der IRFZ24 N ist ein N-Kanal-Leistungs-MOSFET.

Umax Ugsmax Idmax Pmax Rdson Ugson Ugsth
55 V ±20 V 12 A 1 W - 45 W 0,07 Ω 10 V 2,0 V bis 4,0 V
Udsmax maximal zulässige Drain-Source-Spannung
Ugsmax maximal zulässige Gate-Source-Spannung
Idmax maximal zulässiger Drain-Strom
Pmax maximal zulässige Leistung
Rdson Einschaltwiderstand bei Ugson
Ugson Gate-Source-Spannung für Rdson
Ugsth Gate-Source-Spannung, bei der der MOSFET leitend wird
Diese Grenzwerte dürfen nicht überschritten werden. Siehe: Betriebsdaten und Grenzdaten
  • Der IRFZ24 N wird als Leistungsschalter eingesetzt.
  • Die Gate-Source-Spannung darf maximal ±20 V betragen.
  • Das Gate des IRFZ24 N ist nicht gegen höhere Spannungen geschützt.
  • Der IRFZ24 N kann nicht von Logiksystemen ≤5 V angesteuert werden.

Symbol

N-MOS-FET-Diode_Symbol.png
Bild 1: Symbol eines N-MOSFET

Wirkung

Eine positive Spannung Ugs von 10 V zwischen Gate und Source schaltet den MOSFET ein. Der Widerstand zwischen Drain und Source ist dann praktisch 0 (etwa 70 mΩ). Der Strom sollte bei Ugs = 10 V nicht größer als 10 A sein.

Gehäuse

TO220.png
Bild 2: IRFZ24 N im TO-220-Gehäuse

a - Gate
b - Drain
c - Source
Der mittlere Anschluss b ist mit der Kühlfahne d verbunden.

Thermische Eigenschaften

Attention pin

60 °C

Eine maximale Umgebungstemperatur von 60 °C ist für die meisten unserer Anwendungen eine gute Wahl.

  • Die maximal zulässige Sperrschichttemperatur des IRFZ24 N beträgt 175 °C.
  • Die maximal zulässige Leistung bei einer Umgebungstemperatur von 25°C ist Pmax=2,4 W.
  • Über 25°C Umgebungstemperatur verringert sich die maximal zulässige Leistung um 0,0162 W/K.
  • Die maximal zulässige Leistung bei einer Gehäusetemperatur von 25°C ist Pmax=45 W.
  • Mit einem U-Profil-Kühlkörper mit 24 K/W ist bei 25°C Umgebungstemperatur eine Leistung von Pmax=6,12 W möglich.
  • Über 25°C Umgebungstemperatur verringert sich die maximal zulässige Leistung um 0,041 W/K.
  • Mit einem Fingerkühlkörper mit 6,8 K/W ist bei 25°C Umgebungstemperatur eine Leistung von Pmax=20,5 W möglich.
  • Über 25°C Umgebungstemperatur verringert sich die maximal zulässige Leistung um 0,137 W/K.
IRFZ24N-Pmax.png
Bild 3: Maximal zulässige Verlustleistung des IRFZ24 N bei Umgebungstemperatur

Das obige Diagramm setzt voraus,

  • dass der IRFZ24 N auf eine Leiterplatte ohne Kühlkörper gelötet wird oder
  • ein U-Profil-Kühlkörper mit einem Wärmewiderstand von 24 K/W oder
  • ein Fingerkühlkörper mit 6,8 K/W verwendet wird.
  • Bei den Kühlkörpern wird der Wärmewiderstand des Gehäuses von 0,5 K/W berücksichtigt, d. h., der IRFZ24 N wird mit Wärmeleitfett montiert.
  • Ohne Wärmeleitfett ist der Wärmewiderstand des Gehäuses 3,3 K/W.

Die maximal zulässige Verlustleistung kann einfach aus dem Diagramm entnommen werden.

  • Wird der IRFZ24 N mit relativ hoher Leistung freistehend betrieben,
  • kann er über 100 °C heiß werden und die umliegenden Bauelemente erhitzen.
  • Ein kleiner Kühlkörper ist oft effizienter.

Regeln

  • Der IRFZ24 N ist empfindlich gegen elektrostatische Entladung.
  • Die Source des IRFZ24 N wird an Minus angeschlossen.
  • Der IRFZ24 N wird durch eine positive Spannung zwischen Source und Gate eingeschaltet.
  • Der Lastwiderstand liegt zwischen Drain und Plus.
  • Das Gate sollte niemals offen sein. Ein 1 MΩ-Widerstand genügt.
  • Der IRFZ24 N schaltet bei einer Gate-Source-Spannung von 10 V sicher ein.
  • Das Gate darf nur direkt an den Ausgang eines CMOS-ICs angeschlossen werden, wenn die Versorgungsspannung mindestens 10 V beträgt.
  • Er kann nicht an 5 V-Systemen betrieben werden.
  • Der IRFZ24 N kann ohne Kühlung mit maximal 1 W betrieben werden.
  • Der IRFZ24 N schaltet Spannungen bis zu 55 V und Ströme bis zu 12 A.
  • Als Schalter kann der IRFZ24 N ohne Kühlung mit Strömen bis zu 3 A betrieben werden.
  • Bei schnellen Schaltungen muss ein spezieller Treiber verwendet werden.
  • Der IRFZ24 N darf linear (analog) betrieben werden,
  • 12 A und 4 V
  • 1,1 A und 55 V
  • Die Ströme müssen bei höheren Temperaturen und Leistungen reduziert werden.

Weitere Daten und Kennlinien

Die folgenden Kennlinien sind typische Kennlinien, die auf Angaben verschiedener Hersteller beruhen. Sie können von Prüfling zu Prüfling und von Hersteller zu Hersteller variieren.

  • Kennlinien werden im Praktikum Kennlinien beschrieben.
IRFZ24N-Ausgangskennlinien.png
Bild 4: Ausgangskennlinien des IRFZ24 N

Die Ausgangskennlinien des IRFZ24 N sind temperaturabhängig.

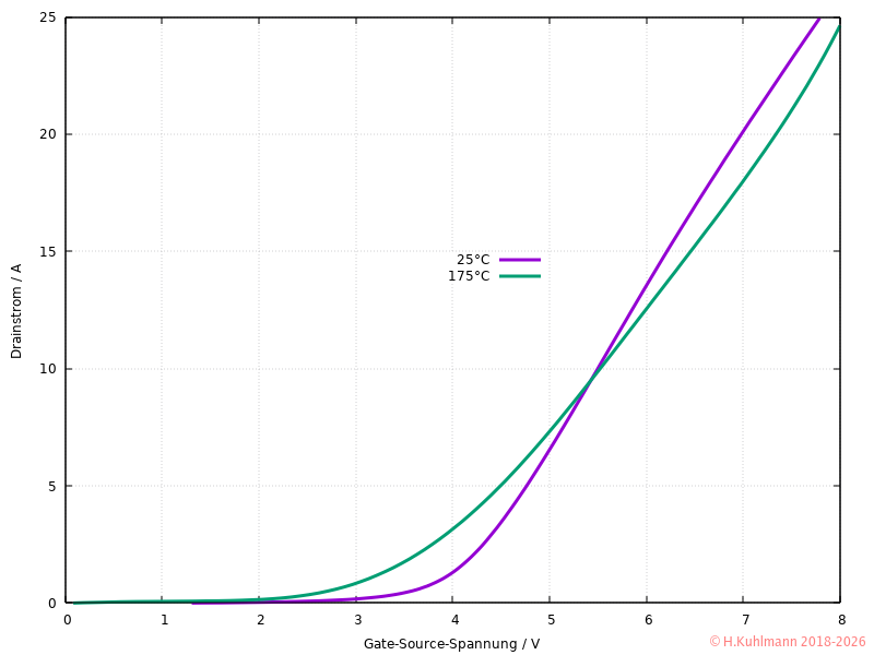
IRFZ24N-Transferkennlinien.png
Bild 5: Transferkennlinie des IRFZ24 N

Die Transferkennlinie des IRFZ24 N ist temperaturabhängig.

IRFZ24N-RDSon-Kennlinien.png
Bild 6: Typischer Einschaltwiderstand Rdson des IRFZ24 N

Sicherer Arbeitsbereich (SOA)

IRFZ24N-SOA.png
Bild 7: Sicherer Arbeitsbereich (SOA) des IRFZ24 N

Der IRFZ24 N kann analog mit Gleichstrom betrieben werden: DC SOA. Bei Gleichstrombetrieb ist der maximal zulässige Gleichstrom ImaxDC zu beachten.

Id bei Uds unter
12 A 4 V
5 A 10 V
1,1 A 55 V
  • Die Grenzlinien dürfen nur einmalig oder sehr selten überschritten werden. Der IRFZ24 N darf dauerhaft nur unterhalb des DC-Bereichs betrieben werden.