../icons/Logo.pngPraktische Elektronik


Der P-Kanal-MOSFET IRLML6402 ist ein Schalter, der sich gut als Verpolungsschutz eignet.


list.png

IRLML6402

Attention attention

Der IRLML6402 ist empfindlich gegen elektrostatische Entladung.

Bitte Vorsicht elektrostatische Entladung beachten.

Der IRLML6402 ist ein P-Kanal-MOSFET.

Udsmax Ugsmax Idmax Pmax Rdson Ugson Ugsth
-20 V ±12 V -3,7 A 1300 mW 0,08 Ω -2,5 V -0,4 V bis -0,95 V
Udsmax maximal zulässige Drain-Source-Spannung
Ugsmax maximal zulässige Gate-Source-Spannung
Idmax maximal zulässiger Drain-Strom
Pmax maximal zulässige Leistung
Rdson Einschaltwiderstand bei Ugson
Ugson Gate-Source-Spannung für Rdson
Ugsth Gate-Source-Spannung, bei der der MOSFET leitend wird
  • Der IRLML6402 kann als Schalter und Verpolungsschutz verwendet werden.
  • Der IRLML6402 kann von Logiksystemen ≥ 3 V angesteuert werden.
  • Die Gate-Source-Spannung darf maximal ±12 V betragen.
  • Das Gate des IRLML6402 ist nicht gegen höhere Spannungen geschützt.

Symbol

P-MOS-FET-Diode_Symbol.png
Bild 1: Symbol eines P-MOSFET

Wirkung

Eine negative Spannung von -3 V zwischen Gate und Source schaltet den MOSFET ein. Der Widerstand zwischen Drain und Source ist dann praktisch 0 (etwa 80 mΩ).

Der IRLML6402 beginnt bei -0,55 V (-0,4 V bis -0,95 V) zu leiten.

Attention >

THT und SMD

Montage von Bauelementen auf Leiterplatten

THT (Through Hole Technology) Durchsteckmontage

  • Die Anschlüsse von THT-Bauelementen werden durch Löcher in der Platine gesteckt und von unten verlötet.
  • THT-Bauelemente werden auf der Oberseite der Platine montiert.
  • Bedrahtete Bauelemente wie Widerstände und Kondensatoren werden in THT montiert. Dazu müssen die Anschlussdrähte entsprechend gebogen werden.

SMD (Surface Mounted Device) Oberflächenmontage

  • SMD-Bauelemente benötigen keine Bohrungen, sondern werden direkt auf Kupferpads gelötet.
  • SMD-Bauelemente können auf beiden Seiten einer Platine montiert werden.

Gehäuse

SOT23-3.png
Bild 2: IRLML6402 im SMD-Gehäuse Typ SOT-23-3

1 - Gate
2 - Source
3 - Drain

Montage auf Lochrasterplatinen

Das dreipolige SMD-Bauelement des IRLML6402 kann auf Lochrasterplatinen montiert werden: SOT-Gehäuse

Thermische Eigenschaften

Attention pin

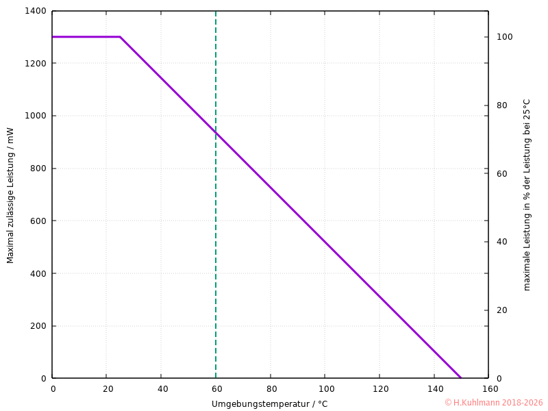
60 °C

Eine maximale Umgebungstemperatur von 60 °C ist für die meisten unserer Anwendungen eine gute Wahl.

  • Die maximal zulässige Sperrschichttemperatur des IRLML6402 beträgt 150 °C.
  • Die maximal zulässige Leistung bei einer Umgebungstemperatur von 25°C ist Pmax=1300 mW.
  • Über 25°C Umgebungstemperatur verringert sich die maximal zulässige Leistung um 10 mW/°C.
IRLML6402-Pmax.png
Bild 3: Maximal zulässige Verlustleistung des IRLML6402 bei Umgebungstemperatur

Das obige Diagramm setzt voraus, dass der IRLML6402 auf einer Leiterplatte eingelötet ist.

Die maximal zulässige Verlustleistung kann einfach aus dem Diagramm entnommen werden.

Regeln

  • Der IRLML6402 ist empfindlich gegen elektrostatische Entladung.
  • Die Source des IRLML6402 wird an Plus angeschlossen.
  • Die geschaltete Last liegt zwischen Drain und Minus bzw. Masse.
  • Der IRLML6402 wird durch eine negative Spannung zwischen Source und Gate eingeschaltet.
  • Das Gate sollte niemals offen sein. Ein 1 MΩ-Widerstand genügt.
  • Der IRLML6402 schaltet Ströme bis -1,5 A gut.
  • Das Gate kann unmittelbar an den Ausgang eines CMOS-ICs angeschlossen werden.
  • Der IRLML6402 darf mit einer maximalen Gate-Source-Spannung von ±12 V betrieben werden.
  • Er kann mit Spannungen zwischen 3 V und 12 V betrieben werden.
  • Der IRLML6402 verträgt keine hohen Leistungen,
  • maximal 0,9 W bei 60 °C.
  • Der IRLML6402 kann Spannungen bis 20 V und Ströme bis 2,2 A schalten.
  • Der IRLML6402 darf linear (analog) betrieben werden.
  • 2,2 A und 0,27 V
  • 40 mA und 20 V
  • Die Ströme müssen bei höheren Temperaturen und Leistungen reduziert werden.

Beispiel: Verpolungsschutz

Verpolungsschutz.png
Bild 4: Verpolungsschutz mit IRLML6402

Der IRLML6402 besitzt eine integrierte Diode. Der Strom fließt durch diese Diode, wenn der IRLML6402 nicht eingeschaltet ist. Wenn die Gate-Source-Spannung größer als -2,5 V ist, schließt der MOSFET die Diode kurz. Diese Schaltung wird im Praktikum Komplementäre Transistoren näher beschrieben.

Attention pin

Verpolungsschutz

  • Der IRLML6402 wird als Verpolungsschutz "falsch herum" betrieben.
  • Der IRLML6402 wirkt nicht als Diode, da er auch von +Uout nach +Uin leitet, wenn +Uout größer als 2,5 V ist.

Montage auf Lochrasterplatinen

Das dreipolige SMD-Bauelement des IRLML6402 kann auf Lochrasterplatinen montiert werden: SOT-Gehäuse

Weitere Daten und Kennlinien

Die folgenden Kennlinien sind typische Kennlinien, die auf Angaben verschiedener Hersteller beruhen. Sie können von Prüfling zu Prüfling und von Hersteller zu Hersteller variieren.

  • Kennlinien werden im Praktikum Kennlinien beschrieben.
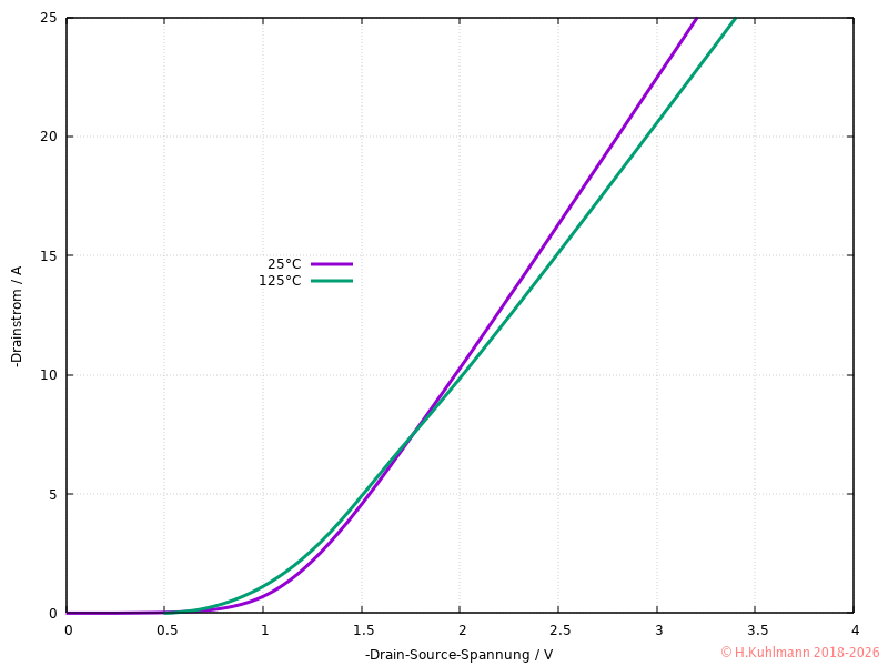
IRLML6402-Ausgangskennlinien.png
Bild 5: Ausgangskennlinien des IRLML6402

Die Ausgangskennlinien des IRLML6402 sind temperaturabhängig. Die durchgezogenen Kennlinien gelten für 25 °C und die gestrichelten für 150 °C.

IRLML6402-Transferkennlinie.png
Bild 6: Transferkennlinie des IRLML6402

Die Transferkennlinie des IRLML6402 ist temperaturabhängig.

IRLML6402-RDSon-Kennlinien.png
Bild 7: Typischer Einschaltwiderstand Rdson des IRLML6402

Sicherer Arbeitsbereich (SOA)

IRLML6402-SOA.png
Bild 8: Sicherer Arbeitsbereich (SOA) des IRLML6402

Der IRLML6402 kann analog mit Gleichstrom betrieben werden (DC SOA). Bei Gleichstrombetrieb ist der maximal zulässige Gleichstrom Idmax zu beachten.

Id bei Uds unter
-3 A -0,2 V
-1 A -0,6 V
-100 mA -7 V
-35 mA -20 V
  • Der SOA für DC kann entsprechend den %-Angaben rechts im Diagramm für die maximal zulässige Verlustleistung reduziert werden.