../icons/Logo.pngPraktische Elektronik


Der P-Kanal-MOSFET NX2301P ist ein Schalter, der sich gut als Verpolungsschutz eignet.


list.png

NX2301P

Attention attention

Der NX2301P ist empfindlich gegen elektrostatische Entladung.

Bitte Vorsicht elektrostatische Entladung beachten.

Der NX2301P ist ein P-Kanal-MOSFET.

Udsmax Ugsmax Idmax Pmax Rdson Ugson Ugsth
-20 V ±8 V -2 A 400 mW 0,300 Ω -2,0 V -0,5 V bis -1,1 V
Udsmax maximal zulässige Drain-Source-Spannung
Ugsmax maximal zulässige Gate-Source-Spannung
Idmax maximal zulässiger Drain-Strom
Pmax maximal zulässige Leistung
Rdson Einschaltwiderstand bei Ugson
Ugson Gate-Source-Spannung für Rdson
Ugsth Gate-Source-Spannung, bei der der MOSFET leitend wird (< wegen -)
Diese Grenzwerte dürfen nicht überschritten werden. Siehe: Betriebsdaten und Grenzdaten
  • Der NX2301P kann als Schalter und Verpolungsschutz verwendet werden.
  • Der NX2301P kann von Logiksystemen ≥ 3 V angesteuert werden.
  • Die Gate-Source-Spannung darf maximal ±8 V betragen.
  • Das Gate des NX2301P ist nicht gegen höhere Spannungen geschützt.

Symbol

P-MOS-FET-Diode_Symbol.png
Bild 1: Symbol eines P-MOSFET

Wirkung

Eine negative Spannung von -2,0 V zwischen Gate und Source schaltet den MOSFET ein. Der Widerstand zwischen Drain und Source ist dann praktisch 0 (etwa 300 mΩ).

Der NX2301P beginnt bei -0,75 V (-0,5 V bis -1,1 V) zu leiten.

Gehäuse

Attention >

THT und SMD

Montage von Bauelementen auf Leiterplatten

THT (Through Hole Technology) Durchsteckmontage

  • Die Anschlüsse von THT-Bauelementen werden durch Löcher in der Platine gesteckt und von unten verlötet.
  • THT-Bauelemente werden auf der Oberseite der Platine montiert.
  • Bedrahtete Bauelemente wie Widerstände und Kondensatoren werden in THT montiert. Dazu müssen die Anschlussdrähte entsprechend gebogen werden.

SMD (Surface Mounted Device) Oberflächenmontage

  • SMD-Bauelemente benötigen keine Bohrungen, sondern werden direkt auf Kupferpads gelötet.
  • SMD-Bauelemente können auf beiden Seiten einer Platine montiert werden.
SOT23-3.png
Bild 2: NX2301P im SMD-Gehäuse Typ SOT-23-3

1 - Gate
2 - Source
3 - Drain

Montage auf Lochrasterplatinen

Das dreipolige SMD-Bauelement des NX2301P kann auf Lochrasterplatinen montiert werden: SOT-Gehäuse

Thermische Eigenschaften

Attention pin

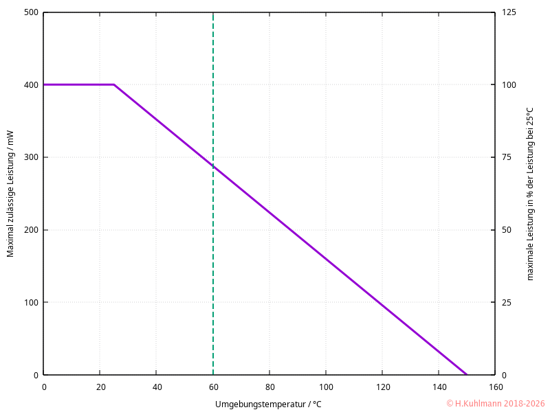
60 °C

Eine maximale Umgebungstemperatur von 60 °C ist für die meisten unserer Anwendungen eine gute Wahl.

  • Die maximal zulässige Sperrschichttemperatur des NX2301P beträgt 150 °C.
  • Die maximal zulässige Leistung bei einer Umgebungstemperatur von 25°C ist Pmax=400 mW.
  • Über 25°C Umgebungstemperatur reduziert sich die maximal zulässige Leistung um 3,2 mW/°C.
NX2301P-Pmax.png
Bild 3: Maximal zulässige Verlustleistung des NX2301P bei Umgebungstemperatur

Das obige Diagramm geht davon aus, dass der NX2301P auf eine Leiterplatte gelötet ist.

Die maximal zulässige Verlustleistung kann einfach aus dem Diagramm abgelesen werden.

Regeln

  • Der NX2301P ist empfindlich gegen elektrostatische Entladung.
  • Die Source des NX2301P wird an Plus angeschlossen.
  • Die geschaltete Last liegt zwischen Drain und Minus bzw. Masse.
  • Der NX2301P wird durch eine negative Spannung zwischen Source und Gate eingeschaltet.
  • Das Gate sollte niemals offen sein. Ein 1 MΩ Widerstand genügt.
  • Der NX2301P schaltet Ströme bis -2 A gut.
  • Das Gate kann unmittelbar an den Ausgang eines CMOS-ICs angeschlossen werden.
  • Der NX2301P darf mit einer maximalen Gate-Source-Spannung von ±8 V betrieben werden.
  • Er kann mit Spannungen zwischen 3 V und 12 V betrieben werden.
  • Der NX2301P darf linear (analog) betrieben werden:
  • 0,1 A und 10 V
  • 0,2 A und 5 V
  • Der NX2301P verträgt keine hohen Leistungen:
  • maximal 288 mW bei 60 °C.

Beispiel: Verpolungsschutz

Verpolungsschutz.png
Bild 4: Verpolungsschutz mit NX2301P

Der NX2301P besitzt eine integrierte Diode. Der Strom fließt durch diese Diode, wenn der NX2301P nicht eingeschaltet ist. Wenn die Gate-Source-Spannung größer als -2,5 V ist, schließt der MOSFET die Diode kurz. Diese Schaltung wird im Praktikum Komplementäre Transistoren näher beschrieben.

Attention pin

Verpolungsschutz

  • Der NX2301P wird als Verpolungsschutz "falsch" herum betrieben.
  • Der NX2301P wirkt nicht als Diode, da er auch von +Uout nach +Uin leitet, wenn +Uout größer als 2,5 V ist.

Weitere Daten und Kennlinien

  • Kennlinien werden im Praktikum Kennlinien beschrieben.

Sicherer Arbeitsbereich (SOA)

NX2301P-SOA.png
Bild 5: Sicherer Arbeitsbereich des NX2301P

Der NX2301P kann analog mit Gleichstrom betrieben werden: DC SOA.

Id bei Uds unter
-4 A -0,7 V
-0,145 A -20 V
  • Die Grenzlinien dürfen nur einmalig oder sehr selten überschritten werden. Der NX2301P darf dauerhaft nur unterhalb des DC-Bereichs betrieben werden.
  • Der SOA für DC kann entsprechend den %-Angaben rechts im Diagramm für die maximal zulässige Verlustleistung reduziert werden.
  • In Bild 5 ist der SOA des NX2301P für Gleichstrom bei einer Gehäusetemperatur von tc=25 °C angegeben.
  • Bitte beachten, dass tc=25 °C für den Betrieb zu gering ist. 60 °C wären besser.