../icons/Logo.pngPraktische Elektronik


Der N-Kanal-MOSFET IRF7470 ist ein Schalter für Ströme bis zu 8,5 A.


list.png

IRF7470

Attention attention

Der IRF7470 ist empfindlich gegen elektrostatische Entladung.

Bitte Vorsicht elektrostatische Entladung beachten.

Der IRF7470 ist ein N-Kanal-MOSFET.

Udsmax Ugsmax Idmax Pmax Rdson Ugson Ugsth
40 V ±12 V 8 A 2500 mW 0,015 Ω 2,7 V 0,8 V bis 2,0 V
Udsmax maximal zulässige Drain-Source-Spannung
Ugsmax maximal zulässige Gate-Source-Spannung
Idmax maximal zulässiger Drain-Strom
Pmax maximal zulässige Leistung
Rdson Einschaltwiderstand bei Ugson
Ugson Gate-Source-Spannung für Rdson
Ugsth Gate-Source-Spannung, bei der der MOSFET leitend wird
Diese Grenzwerte dürfen nicht überschritten werden. Siehe: Betriebsdaten und Grenzdaten
  • Der IRF7470 kann als Schalter und Verpolungsschutz eingesetzt werden.
  • Der IRF7470 kann von Logiksystemen ≥ 3 V angesteuert werden.
  • Die Gate-Source-Spannung darf maximal ±12 V betragen.
  • Das Gate des IRF7470 ist nicht gegen höhere Spannungen geschützt.

Symbol

N-MOS-FET-Diode_Symbol.png
Bild 1: Symbol eines N-Kanal-MOSFETs

S - Source, D - Drain, G - Gate

Wirkung

Eine positive Spannung Ugs von 3 V zwischen Gate und Source schaltet den MOSFET ein. Der Widerstand zwischen Drain und Source ist dann praktisch 0 (etwa 30 mΩ). Der Strom sollte 5 A bei Ugs=3 V nicht überschreiten.

Gehäuse

Attention >

THT und SMD

Montage von Bauelementen auf Leiterplatten

THT (Through Hole Technology) Durchsteckmontage

  • Die Anschlüsse von THT-Bauelementen werden durch Löcher in der Platine gesteckt und von unten verlötet.
  • THT-Bauelemente werden auf der Oberseite der Platine montiert.
  • Bedrahtete Bauelemente wie Widerstände und Kondensatoren werden in THT montiert. Dazu müssen die Anschlussdrähte entsprechend gebogen werden.

SMD (Surface Mounted Device) Oberflächenmontage

  • SMD-Bauelemente benötigen keine Bohrungen, sondern werden direkt auf Kupferpads gelötet.
  • SMD-Bauelemente können auf beiden Seiten einer Platine montiert werden.
SO-8.png
Bild 2: IRF7470 im SMD-Gehäuse Typ SO-8

1 - Source
2 - Source
3 - Source
4 - Gate
5 - Drain
6 - Drain
7 - Drain
8 - Drain

Montage auf Lochrasterplatinen

Das achtpolige SMD-Bauelement des IRF7470 kann auf Lochrasterplatinen montiert werden: SO-Gehäuse.

Thermische Eigenschaften

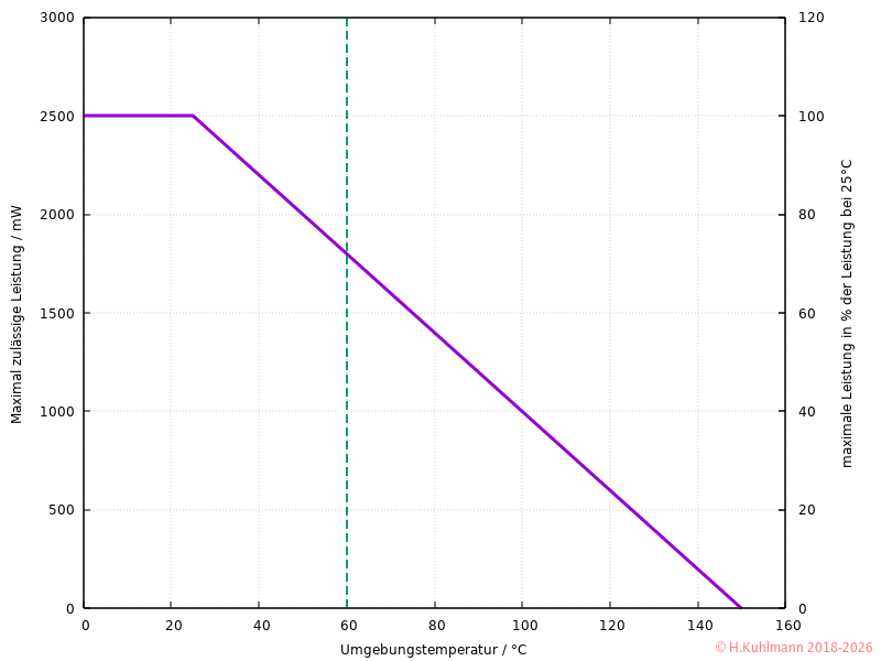
  • Die maximal zulässige Sperrschichttemperatur des IRF7470 beträgt 150 °C.
  • Die maximal zulässige Leistung bei einer Umgebungstemperatur von 25°C ist Pmax=1600 mW.
  • Über 25°C Umgebungstemperatur verringert sich die maximal zulässige Leistung um 20 mW/°C.
IRF7470-Pmax.png
Bild 3: Maximal zulässige Verlustleistung des IRF7470 bei Umgebungstemperatur

Das obige Diagramm setzt voraus, dass der IRF7470 auf einer Leiterplatte eingelötet ist.

Die maximal zulässige Verlustleistung kann einfach aus dem Diagramm entnommen werden.

Regeln

  • Der IRF7470 ist empfindlich gegen elektrostatische Entladung:
  • Die Source des IRF7470 wird an Minus angeschlossen.
  • Die geschaltete Last liegt zwischen Drain und Plus.
  • Der IRF7470 wird durch eine positive Spannung zwischen Source und Gate eingeschaltet.
  • Das Gate darf niemals offen sein. Ein Widerstand von 1 MΩ genügt.
  • Das Gate kann unmittelbar an den Ausgang eines CMOS-ICs angeschlossen werden.
  • Der IRF7470 schaltet Ströme bis zu 5 A, wenn er mit Ugs=3 V angesteuert wird.
  • Der IRF7470 darf mit einer maximalen Gate-Source-Spannung von ±12 V betrieben werden.
  • Er kann gut mit Spannungen zwischen 5 V und 24 V betrieben werden.
  • Der IRF7470 verträgt keine hohen Leistungen,
  • maximal 1,8 W bei 60 °C Umgebungstemperatur.

Weitere Daten und Kennlinien

  • Kennlinien werden im Praktikum Kennlinien beschrieben.

Sicherer Arbeitsbereich (SOA)

IRF7470-SOA.png
Bild 4: Sicherer Arbeitsbereich des IRF7470

Der IRF7470 kann analog mit Gleichstrom betrieben werden: DC SOA.

  • Der DC SOA wird nicht von allen Herstellern angegeben.
Id bei Uds unter
8,5 A 0,28 V
0,06 A 40 V
  • Die Grenzwerte dürfen nur einmalig oder sehr selten überschritten werden. Der IRF7470 darf dauerhaft nur unterhalb des DC-Bereichs betrieben werden.
  • Der SOA für DC kann entsprechend den %-Angaben rechts im Diagramm für die maximal zulässige Verlustleistung reduziert werden.