../icons/Logo.pngPraktische Elektronik


Der 2N7000 ist ein universell einsetzbarer N-Kanal-MOSFET.


list.png

2N7000

Attention attention

Der 2N7000 ist sehr empfindlich gegen elektrostatische Entladungen.

Bitte Vorsicht elektrostatische Entladung beachten.

Der 2N7000 ist ein N-Kanal-Kleinsignal-MOSFET.

Udsmax Ugsmax Idmax Pmax Rdson Ugson Ugsth
60 V ±20 V 200 mA 400 mW typ. 1,7 Ω (max. 7,5 Ω) 5 V, 50 mA 0,8 V bis 3,0 V
Udsmax maximal zulässige Drain-Source-Spannung
Ugsmax maximal zulässige Gate-Source-Spannung
Idmax maximal zulässiger Drain-Strom
Pmax maximal zulässige Leistung
Rdson Einschaltwiderstand bei Ugson
Ugson Gate-Source-Spannung für Rdson
Ugsth Gate-Source-Spannung, bei der der MOSFET leitend wird
Diese Grenzwerte dürfen nicht überschritten werden. Siehe: Betriebsdaten und Grenzdaten
  • Der 2N7000 wird meist als Schalter eingesetzt.
  • Der 2N7000 kann nur von CMOS-Logik-Systemen ≥ 5 V angesteuert werden. Es sind nur Drain-Ströme von maximal 75 mA sinnvoll.
  • Das Gate des 2N7000 ist nicht gegen höhere Spannungen geschützt.

Symbol

N-MOS-FET-Diode_Symbol.png
Bild 1: Symbol eines N-MOSFETs

a - Source
b - Gate
c - Drain

Wirkung

Durch eine positive Spannung zwischen Gate und Source wird der N-Kanal-MOSFET zwischen Drain und Source leitend. Der MOSFET ist spannungsgesteuert.

Gehäuse

TO92.png
Bild 2: 2N7000 im TO-92-Gehäuse

a - Source
b - Gate
c - Drain

Thermische Eigenschaften

Attention pin

60 °C

Eine maximale Umgebungstemperatur von 60 °C ist für die meisten unserer Anwendungen eine gute Wahl.

  • Die maximal zulässige Sperrschichttemperatur des 2N7000 beträgt 150 °C.
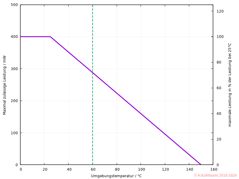
  • Die maximal zulässige Leistung bei einer Umgebungstemperatur von 25°C ist Pmax=400 mW.
  • Über 25°C Umgebungstemperatur verringert sich die maximal zulässige Leistung um 3,2 mW/K.
2N7000-Pmax.png
Bild 3: Maximal zulässige Verlustleistung des 2N7000 bei Umgebungstemperatur

Das obige Diagramm setzt voraus, dass der 2N7000 auf einer Leiterplatte eingelötet ist.

Die maximal zulässige Verlustleistung kann einfach aus dem Diagramm entnommen werden.

Regeln

  • Der 2N7000 ist sehr empfindlich gegen elektrostatische Entladungen.
  • Die Source wird mit Minus verbunden.
  • Der Lastwiderstand liegt zwischen Drain und Plus.
  • Das Gate ist isoliert. Es fließt kein Strom in das Gate.
  • Das Gate darf nie offen sein. Ein Widerstand von 1 MΩ genügt.
  • Durch eine positive Spannung zwischen Gate und Source von etwa 2 V (0,8 V bis 3 V) wird der 2N7000 leitend.
  • Bei einer positiven Spannung zwischen Gate und Source von 4,5 V schaltet der 2N7000 75 mA.
  • Für 200 mA ist eine Gate-Source-Spannung von mehr als 6 V erforderlich.
  • Der 2N7000 sollte für kleine Ströme bis 75 mA verwendet werden.
  • Der 2N7000 kann mit dem Gate direkt an einen CMOS-Ausgang (5 V) angeschlossen werden und schaltet dann bis zu 75 mA.
  • Der 2N7000 kann bei Spannungen bis 12 V mit einem Lastwiderstand von minimal 150 Ω sicher betrieben werden.
  • Zwischen Drain und Source befindet sich eine Diode, die bei negativer Spannung leitend wird.
  • Der 2N7000 verträgt keine hohen Leistungen: 400 mW nur bei 25 °C Umgebungstemperatur
  • 288 mW bei 60 °C Umgebungstemperatur
  • Der 2N7000 schaltet Spannungen bis 50 V und 200 mA.
  • Der 2N7000 darf linear (analog) betrieben werden:
  • 200 mA und 2 V
  • 7 mA und 60 V

Weitere Daten und Kennlinien

  • Kennlinien werden im Praktikum Kennlinien beschrieben.
2N7000-Ausgangskennlinie.png
Bild 4: Ausgangskennlinien des 2N7000

Die tatsächlichen Ausgangskennlinien des 2N7000 können von den dargestellten typischen Kennlinien abweichen. Die zugeordneten Gate-Source-Spannungen können abweichen. Insbesondere bei Gate-Source-Spannungen unter 3 V sind Abweichungen möglich, da die Gate-Source-Spannung, bei der der MOSFET leitend wird, im Bereich von 0,8 V bis 3,0 V liegt.

Die Leistungskurve für 400 mW gibt an, mit welchem Drain-Strom der 2N7000 bei welcher Drain-Source-Spannung maximal betrieben werden darf. Der Strom muss immer unterhalb der Leistungskurve liegen.

Der 2N7000 darf nur für sehr kurze Zeit, unter 100µs, oberhalb der Leistungskurve betrieben werden. Wenn der 2N7000 als Schalter verwendet wird, wird er während des Ein- und Abschaltvorgangs häufig kurzzeitig oberhalb der Leistungskurve betrieben. Im eingeschalteten Zustand wird er meist unterhalb der Leistungskurve betrieben.

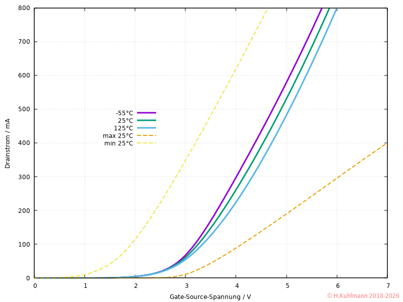
2N7000-Transferkennlinie.png
Bild 5: Transferkennlinie des 2N7000

Die typische Transferkennlinie ist grün dargestellt. Die violette und blaue Kennlinie zeigen den typischen Verlauf bei 150 °C und -55 °C. Die Abweichungen von der Kennlinie für 25 °C sind gelb und orange dargestellt.

2N7000-RDSon.png
Bild 6: Typischer Einschaltwiderstand Rdson des 2N7000

Sicherer Arbeitsbereich (SOA)

2N7000-SOA.png
Bild 7: Sicherer Arbeitsbereich des 2N7000

Der 2N7000 kann analog mit Gleichstrom betrieben werden: DC-SOA.

Id bei Uds unter:
200 mA 2 V
7 mA 60 V
  • Die Grenzlinien dürfen nur einmalig oder sehr selten überschritten werden. Der 2N7000 darf dauerhaft nur unterhalb des DC-Bereichs betrieben werden.
  • Wenn die Temperatur höher ist, muss die Leistung reduziert werden.
  • Der SOA des 2N7000 für DC kann entsprechend den %-Angaben rechts im Diagramm für die maximal zulässige Verlustleistung reduziert werden.